|
01.08.2023 05:32 |
|
|
|
|
![]() | |
| [0] |
20230801-0532-0-1.jpg |
|
01.08.2023 06:30 |
|
|
|
|
![]() | |
| [0] |
20230801-0630-0-1.jpg |
| Vom
allabendlichen als zusätzliches Echtheits- und Zeit-stempel Merkmal des
Blogs hier stets erwähnten 18:00 Uhr TV Vorabendprogramms vom gestrigen
31. Juli 2023 hab ich nur ab ca. 20:05 uhr das End mitebkommen von
#berlinNueKölln02407, da verabchiedete Joe gerade Krätze und Emmi an der
Tür vonsienr gebutttsagsparty, sie trug Jeans, Krätze ein wießes
oberteil mit bunten aufdrucken so ich rcht etinne, Joe ein leuchtend
blaues T-Shirt mit Aufdruck mit seinem eigenen Kopf drauf. So ungefähr
Matt Gronig mit der ihm entsrechend figur des comic-Buch Verkäufers in
der Serie #dieSimpsons “Kontrakt des zeichners” wo ein Kernkraftwerk
sich den hauseignen Comic-zeichner Garry Larsson anheurt um Hoer
abzuwerben . Von mir wollten sie ja daß ich ein T-Shirt mit “das klien
archloch” von Ral fKönig trage, das ist voller Blut vom Selbtsmord im
Blog zu sehen aus dem Verfahren 2016/2017. Bruno trank schnapps mit dem
Typ für den er die Geldwsäche in Müllers Kitchen macht.
https://www.tvinfo.de/fernsehprogramm/1731317059-die-simpsons https://www.tvinfo.de/fernsehprogramm/1731317073-die-simpsons | |
|
01.08.2023 09:30 |
|
|
|
|
![]() | |
| [0] |
20230801-0930-0-1.jpg |
![]() | |
| [1] |
20230801-0930-0-2.jpg |
![]() | |
| [2] |
20230801-0930-0-3.jpg |
![]() | |
| [3] |
20230801-0930-0-4.jpg |
| #ALARM #SOS #MAYDAY werde bei Einreichung von Berufung sabotieret Täter: mir bekannte korrupte Beamte
Maximilian Baehring Hoelderlinstrasse 4 D-60316 Frankfurt/M vorab per Fax: +49/(0)611/32761-8326 (-8118) (wird persönlich von mir überbracht) Landgericht Frankfurt a. M. (Präsidium z.Hd. des Herrn Dr. Wolf oder Herrn Möller) Gerichtstraße 2 / D-60313 Frankfurt a.M. via gemeinsame Poststelle der Justizbehörden Gerichtsstraße 2 D - 60313 Frankfurt a.M. Im Internet findet sich unter der URL http://banktunnel.eu/pdf.php und URL http://blog.sch-einesystem.de/ mein ausgedruckt ÜBER 25.750 DIN-A4 Seiten umfassendes Internet Tagebuch / Blog, als Offline Version downloadbar unter http://*** /***/ als ISO-Image (brennbar auf DVD) mit tagesaktuellen ZIP-Archiv Ergänzungen Frankfurt/M., 01. August 2023 Eingereichte Berufung gegen Urteil vom 27./28. Juni und zugestellt 01. Juli 2023 in 380 C 478/21 (14) Amtsgericht Frankfurt a.M. Höchst (Postunterschlagung / Vor-schußvetrug Anwaltsrechnung Akteneneinsicht polizeiliches Ermittlunsgeverfahren) siehe auch 6151 Js 217162/21 – 931 Gs Amtsgericht Frankfurt/M und ST/0082472/2021, ST/0397167/2021, … sowie vor allem eben auch SPH/0584256/2020 Polizei Frankfurt a.M. 3320 AR 301535/20 Staatsanwaltschaft/332 Js 63920/20 Amtsanwltschaft Frankfurt/M Dienstaufsichtsache 313 bE 1.104/22 Präsident Amtsgericht Frankfurt/M (10./12 Januar 2023) Sehr geehrter Herr Dr. Wolf, sehr geehrter Herr Möller! Ich habe gestern aufgrudn von Pobleme mit der postustellung mehrfach eingreicht - Begleitschreiben vom 30. Juli 2023 - Berufungsschrift (3 seitig) in 380 C 478/21 Amtsgericht Frankfurt a.M. Höchst - Prozesskostenhilfsantrag (die Kopien des Original bei der Anwältin) mitsamt Anlagen HartzIV/Alg2-Bescheid, Kontoauszug, Mietvertrag/-erhöhungsschreiben aufgrund von Problemen mit meinem Drucker per Intrenet/PDF/Internetcafe Telefax Da ich Opfer einr Eprsssung binm in den letzten Wochen auch von bediensten ihres hauses massivst bei der Eirichung dieser Berufugsschrift behindert worden bin wend ich mich nach der Dienstafsuschtssache inder Vorinstanz (10. Januar 2023) 313 bE 1.104/22 Präsident Amtsgericht Frankfurt/M nun direkt an Sie. Da meine Post NACHWEISLICH (zumindest teilweise) abgefangen wird versende ich alles per Einschreibebriefen zudme nochmal vorba per afx und führe imItrenet ein Oniline Tagebuch in dem ich meinr vefhren ebenflls dokumentiere, dessntagszsummenfssung geht dann per Email nochmals an verschiedenste Empfänger daruter NGOs wie amnesty und transparency itenational, human rights watch, den Verasserdes Handbches der Anwaltshaftung der mich früher anwaltlich vertrat und ander Anwälte, Justiz, in mein Fallevricklte Diplomaten und den Bundespräsidenten (der mir auch anwortert) und Rundfuk/TV/Presse/“Medien“. All ds zum zecke der dokuentation des nuäglichen Lids das bdistete irhes hause mir antun. Man hat mich druch Grund- und Menshenrechtswidrige Verweigerung mines aktiv Klagerechts udnrhcts Strfanzeingen einzreihcen in zahlreiche Suizidversuihe gehetzt,mein Kidn wurd entführt nachdem man mich unter Vergiftung mit k.O. Drops und dann Psychodrogen unter Freiheitberubung ver-gewaltigt hat was bei (erwachsenen) Männern eher selten vorkommt. Um ein Online Tagebuch zu behindern kappt man mit drhschren Haut-telfonkablstänge die ins mistshaus führernwo ich wohne, Stromkabel werden aus der Wand gerissen, ich werde auf offen Straße nagefidnet und verprügelt wenn ich mit Post fürs Gericht/Staatsanwaltschaft das Haus verlasse, man hat mich fast zu Tode gewürgt. Unetr den DDOS/Viren/Spam/Hacker- attacken ging men EDV-Uternehemnkautt, wir hatten amende füftselltge Standleitungskosten pro Monat da wir mehere vorhalen musst aufgund städger Sabotagekat bedingter Ausfälle. Am 12. ferur 202 hrlet ich nun Drohrufe von eienm Mann der sich wechselnd falsch als „Landrichter Beck“ und „Viktor vom KGB/SFB“ ausgibt und szge dien an, mit Audiodateien des Geräschmitshcnitts. Dies polizeliche efahrn soll angelich eingestellt worden sein weil ein massiv überteuerter Anwlt (Bestechlichkiet?) Akttesicht genommen habe am 08. Juni 2020 selstm nur daß ich nch am 15. udn 17. Juni korrespodnez dazu führe nachdem mich einPolizste im Rehemnder emrittlugen anrief dem die Bewsie Audiodateien nicht vor-lagen wgeen Fehler auf der Polzeiwebsite konnten die nicht hochgeladen werden und wurden vorsichtshalber im Ausland im Kurs des Emai-verteulder versteckt bis hiesige Grichte über dern Zulässgkeit im Verfahren uretilen am 06. Jnu 2023 bantragte ich Beweiszulassung bei iem wgen skandlöser verfahremführung abgelhentn Richter aus Höchst der über seine eigene Ablhnug wgeen Befangenheit entscheide nwollte udngen den mehere Verfahren laufen zu dne ich trotz zahricher schstandanfragen kein auskunfst erteilt bekomme. Srche ich persölich bei Gericht vor wirft man mich mist sofort aus dem Gebäude. Daduch sheten mit shcrets Vermögsns- und Gesunheitsschäden, explairich will ich den 19. Januar 2023 heruspicken wo es aufgrund ders skandal-ösen Verhaltens der Justiz/Emrilltungehörden zum Suizdvercuh kam. Nicht dem ertsn, es sind zschn eien zwostelg anazahl mit im Hospital zum heiligen geist wieder zusmmegenähten Halsadern, zur Uni Klinik hätte es nicht mehr gereicht. Ich binehelmaiger rdkateru einer Zeitung und hemeliger gewälter abgrodneter eiens Parlaments. Mien Vater arbietete für den von Judengrüdten Metllgsellscft Kozern al magarer, leitete Bergwerke im Ausland. Daher vehcte ich mhere jahr mein Kindheit in Bangkok, Thailand an ienr dushcen shcule und als der budpräsidt zu Sttasbuch kam mit demshculchiff Dsucthanld (A59) wurd meien muter als wir Kinder von der dsuchtsprchigenshcule es begrüßen sollten vo Amtornes belästigt, es gab Abtrebunsgdignostik und man sprach von Vergewaltigung. Zurück in Deutsch-land (wo ich neben Schule/Studuum in der EDV jobet mit eignem Unternehmen) war ich bei iner zetung als in meinr hestatd Bad Homburg das prgtsoffantatnat auf Deutsche Bank vortsnd Herrhausens Limousine verübt wurde zur zeit der Wieder- vereinigung BRD/DDR asl es zahriche anshcläge wgen dem Altegetum DDR/sgebiete gab etwa uch den mord am Chef der Treuhandanstalt. Ich slebst nutzte wiel mein Mutetr für den budsvabnd der Wach- und Schließgesellschaften den Lobbyverband der gdtratsprtfahre tätig war und ein anchbar als Chauffeur öfters selbst solch gepanzert S-Klasse lang aufdemw eg zur shcule und war massiv vonosblock Militärs bedroht worden. Bei der Frage nch dem Alteigentum suchten die händeringend nch gründen die Frimen und Grundstücke in den Ostgebieten nicht den Altegetümern im Westn zurück-geben zu müssen und kamen uaf die Idee daß das gstz was zu shcffen war (ich war ja Abgeordenter) einen passus beinhalten sollte daß nicht nur duch die sozsistche diattrue der DDR sodnrn ch die nationalszilsscte Dikatur enteig-neter Besitz trückzugeben wäre und daß Kirgverhcer nicht etsädgt werden sollten. In miern fmilie gibt es Flugezeubau/tetspiloten, raanghohe Nato-Militärs die damsl von Ostblock NVA/ROTE ARMEE überläufern kontaiert werden sollten welche batterietecnisk aus Ostblock U-Booten an Varta aus dem BMW/Qudt Imperiume ver-scherbeln wollten, der Sohn des damsligen Bad Hombger Oberbürgermisters Assmann der die Stiftung laut Intrenet leitet war mit mir inZteung und Parlament und wollte daß wir die unlägtsvrtroben Schlsweig Hollsteimnshce Politkerin Heide Simonis die mien avter beim Sttasbsuch in Thailand kenngeelrnt hatte wo sie so glaub ich Tross des Bumdespräsident mitgreist war da in Schleswig Hollstein Schiffs-Werften sind. Es gab dsml dieesen Engholm/Barschel Skandal, darum gehts. Als nundas herrahsuen attat war kame zahriche internetionale Prssluet indie stadt udneden erzähl man di egshcichte mit der „Staatsbesuch Vergewaltigung“ meiner Mutter und ieowlltn das ganz groß brigengegend den Willen der Opfer. Ich hab emitbekomend aß die rdktion evucht hat ds FilmDeals bszushcließen, die Story an Hollywood zu „verkaufen“ und an die Osblock-Mfia die das Budpräsidial-amt wgender KFOR/EurLEX misson im Kosovo gelicb ich erprssen wollte. Das war alles zeitnah zu den Attetan vermtlichspchickh krnke Einzltäter(Innen) auf Lafontaine und Scäuble ichslebst ahte zu derzet ach eine irre Stalkrin, Vera Zanner (geb. Begrer). Man veruchte auch den Mtallegsllcft Kozernwo mein Vater tätig war zu erpressen wgen jdüschem Lategetum, ebenso meine Familien um ihr gerde qusi von Oma geerbten zwoten Hauses Kappesgassebad homburg ober-Elrnbch zu enteignen mit Rufmordkmapganen der wohl zahlugssäumigen Mieterfamilie. Wasdas tham der mtellgselslcftEprssung angeht gibt es da ein verbidung zu „Peanuts – die Bank zahlt alles“ Immobilen shcider der Ost-Immobiliene verwerten wollte und er MILLRDSHCEREEN Bterusgkmapgen umangelich Warentermingeschäft mit Öloptionen di zur angelichen Pleite des mtellegsllcft Konzern führte (Vollstreckungsbetrug) wo sich dann Immobilespeukalten an denFilgrdustücken des Konzergeldädes, gazne straßezüge/hasäserblocks bets Wetsnd-lage hier der alten Oper bedienen wollten, diese aus der ÖLOTIONEN VOLTSRCKUGSBETRUGS Insolvenzmasse vegrüstgt ersteegrn un neu bebauen. Der zig millionenschwre Raubzug ums „die welle“ Gelände am Opern-platz. Das hab ich in Kurzform getsren der dams imVorzimemr des Amtsgerichtsäridneten gsagt auf Aktenzeichen 313 bE 1.104/22 Präsident Amtsgericht Frankfurt/M hin-weisend und darafuf dasß die Justz Gerichvllzeher damsl millrdshcere Scheiße gebaut haben und da nun t hifle ihr sich sldsrsch erkläretn Gewerkschafts-apparstchicks inder justiz zu vrtschen versuchen. Ich habe zufällig 1998 erfahrn daß ein Amwalt Fischer versuchte poltisch Schaffung eines Gewalschustzsenats am aldgericht Frankfurt a.M. druchzustezen wo er imgegszug daüfür daß er ne gut bezahlte Rchterstell erhält uter dem vornd des ginge umZsgchsutssch die ganzen akten „beerdigen“ wollte und andere journalistiushc Quellen aus der justz haben ausgesagt daß gezilt Akten vrschwinden richtungdeses „931 GS“ inde Poststelle. Die Journlstenund Justzbediensteten die damsl das Debakel mit dne Metllgesell-schaft Ölotion anrichtetn wo och galuba als rchakt Herrhausen ermordet wurde von den zigtausdenden in Mitleidenscft gezgen Arbeitenehmern und nicht der RAF ver-suchen mit lalen mitteln zu evhdienr daß infos ans Licht kommen. Es gab 2, IN WORREN: DREI MORDE an ZEUGEN. Der V-Mann des Verfssungsschutz „Claus Steinbach“ und ein Feurwehrmann in Oberursel/Ts derbiattaat dabei war. Und mich versucht man auch zu töten, es soll mal wider nach Suizid aussehenm wie in RAF Terror Verfahrn (Stammheim) üblich. UND DESHLB VERSCHWINET MEINE POST. Manverucht so illgea Hdusdhcucngen druchzuführne , nutzt eine Protest gegen „Guantanmo Bay“ meienen Teleonerkehr richterlich … JS 217972/16 -931 Gs auswertn zu lassen (siehe http://decl-war.blogna.me/post/147002367028/ ) und mit dem mir unter absichlicher fehlmedikamentierung im zustand medikamentebdingter zustimmungs- unfägigkit anvegreltigetenkinde und bei bedrohung meiner (von mir?) schwangren komilltonin veucht men per ntühtrem kind idnder ebrfolge meirn vermeintlich reiche Familie zu kommen umdiese auszplündern, auch mit Erprssungen duch korrute indie Matllgsellsft Öl Sache verwickelte Polzisiten und Sichreheitsfimrendie versuchen mich als im Pozejargon „nich abpsrachfähig“ hisztellen damit korrute Polizisten sich der ffimen vonmir und meirn fmilie bächtgen könenuter demevirnd si müssten Anteilseigern davor schützen daß ich fp mein entühtes kind Lösegeld aus dem Betriebs/Aktionärsvermöen heraus bazhlen. Inw heiet diens das aber alles der vstrscuhung des millrsdchern Rabzugs der Ostblock/Araber Bau-Mafia die sich der Immobilienbemächtegn will. Am 01. Juli 2023 erhielt ich nun in eienm Skdlösen Porzess wo ein abgelehnter richter imZsutdnderbshclussunfähkiet urteilt Protokoll und Urteil in dem Ver-fahren 380 C 478/21 (14) Amtsgericht Frankfurt a.M. Höchst zugstellt, noch ma gleiche nachmittag informeirt ich Höchts daß ich berufung einlege und fderte ma 02. mit Frist bs zum 10. Juli 2023 an mirdnepasnden zuszsnden,a nältehattenmir egsgt es gebe mehrere. Als ich am 07. Juli 2023 im Gerichsgebäde B war und fragte ob der Formualrsatz den man so hatte mir als ich zuvor da war gesagt schrftlich beantragen müsse den voräteg sie so dßa ich ihnauf mene schriftlichen antrag hinmitnhemn könne wurd mir gesagt das gehe nicht. Am 11. Juli 2023 und am 17. Juli 2023 mahnte ich das nohamsls schriftlich an, mr wurde gessag ohen Prozsskostenhilfsnatrag kein Anwalt, udnerst als ich am 19. Juli 2023 mittags vor dem gbüde laut umhelf brüllte hädigte manmi r einaus den ichsofort ausüllte. Udnin Vrb verion am 19./20.Juili ans gichtshckte währnd ich mir am 20. Juli 2023 einen Anwalt suchte von eir etxrm bösrtgen Frau di ihren namen nchnenen wollte imZimmer 108, der Anwltsveriens Rechtsbrung verarscht wurde. Nach einer Odysse bei den Anwältsbüros erun nd Heidrich in der Klingerstraße und Anwälten/Notaren wie Dogan (der seine Post aus April 2023 nicht beantwortet) lande ich bei Frau Silke-Ahlborn Bauer die sich mit Thomas Filler und Timo Bauer ein Büro teilt. Die versch das mandt zu üebrhemn, ich sollemOtag den 24. Juli 2023 wierkommen. Ich betsätgte irh das shctlich (und per Fax/Email). Diese Post kam zurück als untefrankiert und azr einTelefx-veiron mit afgrducktem Amsgerich Stemepel und das aich noch in eienm recyclingpaeir-graue nBrfuschlag,ich verwenden weiße. Un das obgleich ich das Einschreiben bar bezahlt habe (Quuttung vorhanden)udn impst shop habe wiegen und frankieren lassen. Beunruhigt ließ ich mir ind er kanzlei der Anwältin die für mich nicht erreichbar war da auf der Website seine Handy-Nummr falsch als ihre ausggeben wird (Screehsit im Blog)vonhrr Miartebiter be-stätige daß meine Post/Faxe dennoch ankommen am 26. Juli 2023, ich war ja ma Montag vormittag den 24.Juli 203 auch bei ihr imBür gwesn umalle benötgten Unterlagen mitzubringen,auchden Porzesskosthifntragdamit sei nochmal drüber-schaut. In panik bin ch nch demich ein Antwort mehr bekam dann am 28. Juli 203 im Ladnerich gesen und ahbe beim Versuch einzustädigen zu finen imZimemr 4.006/4.008 jemdne gefudne der mit Stemple zsätzlich zuvor gefaxten version meine Post entgegennaham. Am Samstag 29. Juli 2023 mittags 12:00uhr erichte ich endlich den Bürgemischaftkollegen denwältin aufdem ahndy,er ies mich bch ab,sie habe eine andere Nummer. Daß ich imh zuvr zwo mal SMS Handy-Kuzshcnhrichten gshcikt hatte auf den selben Anshcluß und Emails hatte er ignoriert. Er so entdckte daß die frau noch ein zwote Website hat,be ienma Anwlt irgdnwo weiter oben im Norden Deutschlands. Dorinsnede ichnochmal enei Email am 29. Juli 2023 vollkommen verzweifelt währned ich parall mal wiedermit Serverproblem kämpfte was mei Beissicherunsg-Blog/tagbuch Online aufder webiste angeht. Als ich dann in den Spam-Filter sah nedtckte ich vonder Anwältin eien Email vom 28.Juli 203 um 09:03 Uhr als ich vormittags bei Gericht war nchwislich. Irinlegt sie das mandtanider wielich sage daß der Postverlust mich an den Fall Metallgesellschaft Öl / Bader Computer BigFAX erinnert fpriernd. Damsl hatte icha sl Subuenehemr eienr andern BadHomburger EDVFirma an iem Fax-gateway mitgearbeitet woe oc erhlbiche schhertsbdenkn hatte eisgcnner Usrcftenwegen und daher ausstieg aiu dem Projekt. Di hattenuterdenrmevruchtdas der firme meiens avters zu verkaufen später. Udnd a war ach ne wnältndabi die mich an Frau Ahlborn-Baier erinenrt. Die Fitgas ein Mandatndielrgt wo zw Werktage später de ebrufsfisrt abläuft. In meinre NOTSITUATION habe ich dann uaf das zurückgegriffen was ich in meinen Schreiben vom 17. (und 19.) Juli 2023 schon düster vorgeahnt hatte. Zitat: „Bei Recherchn im Intenet übere meine Situation habe ich ehrubekomend daß es höchst-richterliche Rechtssprechung gibt ...: VI ZB 36/16 BGH. 14. März 2017 https://www.haufe.de/recht/weitere-rechtsgebiete/prozessrecht/pkh-antrag-kann-ohne-anwalt-eingelegte-berufung-retten_206_422704.html “ Das man wennman gehdert wird Pzesskosthilfe udnwlatliche hilfe zu erhalten man diebrufgschfta auch selbst OHANE WNLT einrechen kann ohne daß einem dies zum Nachteil gereicht. Wiel manslebst ja alles versucht hat. So habe ich am Sonntag als ich auc nc prblem mtmeienm Drucke rbakm und zumoatsendehabich nie genug geld noch großartig Itretcfe ausruck zu machen dannBerufgisscft slesbt getippt und gefaxt, am Motag früh eien Kopie der amsonntag imuterefcef gemachten Ausdrucke angeftget udnbindamit zgeicht, dabi hatet ich noch mien Fotokopie ds Prozess-kostehlfentrags desn Orgnalbei der nwältn gibt. Ch bindamitdann egstren mittag zu Gericht und habe gebeten alles eigangszubestemplen,abder id Uszzagstelt im zimmer 4.008 tackert neu lle szummen mchte vorne eien tzemp darf augsda sagte das genüge so obwohldann aufsiet 2 das Datum fehlt udncfmierm Duplkat mit dem Einagsstempel nicht wie gewüscht erwähnt ist daß das der Pozesskostenhilfsan-trag mit dabei war. Dhalb ninich dan ürber ins Gebäude B um mich diesntauf-sichtszubeschwere was ich auchnocmal schrftlich machte. Ichwar vonJustzbditeen bedohtwordn,der eien denich aus 1998 vonienrm Treffen in der Kneipe für deren meiene shcnegrbedohte Komillitonin den Kopf hinhielt aufdemapier für den vor-bstraften wirt,dem Hexenklssel kenne wo auch einferssgass Wirt der im Niddaprk eine Frau ermordete laut medierchten wanesnde zegte mir seinen Schlgring am OLG Gebäde, Zel 42, 60313 Frankfurt a.M.. Miteleter Tnteund imitertafce hab ich nohcmal lels ausgrcukt und dann gesondert stempeln lassn gestren als ich das gerichtgäde evrließ wo man mich malwider so varsrshct und sabteirt hatte veruchte ich noch neue drucketinete zu bekomen bei Staurn uaufder zeil und als di kienvorrätg hatten hab ich in der Schilerstraße an der böres noch nch anlten sgcht, inder stephanstraße, und derOkrad-adenaur straße,sogereienpoliesterfe gefagt die am parhos dort stand obsieienalt wüsstender noch auf hat, habe bei zahlreichen Anälte gekligeltwurd mehfch eigalssen baer dnnwider nach kurzer Lekrüee abwgiesn,man mche nur ein anders rchsgbeit heiß es misten, auch aufder zil neben dem OLG Gebäude suchhte ich noch. Zwo Anwälte urshcildicher kanzleien sagten mir so kurzfristig drfe die Ahbornbauerdamandat gar nicht niederlgen. Ich solle nochmal mit ihr reden, als ich dort klingelte wrde war gfffnet und ne Türs tdn offen vomanchbarbüro aber es war niemand da. Versuchs heuet wieder/weiter | |
|
01.08.2023 12:00 |
|
|
|
|
![]() | |
| [0] |
20230801-1200-0-1.jpg |
![]() | |
| [1] |
20230801-1200-0-2.jpg |
![]() | |
| [2] |
20230801-1200-0-3.jpg |
![]() | |
| [3] |
20230801-1200-0-4.jpg |
|
01.08.2023 13:00 |
|
|
|
|
![]() | |
| [0] |
20230801-1300-0-1.jpg |
![]() | |
| [1] |
20230801-1300-0-2.jpg |
![]() | |
| [2] |
20230801-1300-0-3.jpg |
|
01.08.2023 14:00 |
|
|
|
|
![]() | |
| [0] |
20230801-1400-0-1.jpg |
![]() | |
| [1] |
20230801-1400-0-2.jpg |
| BILD:
exemplarisch Vorder- / Rückseite Scan Visitenkarte eines der Anwälte
die ich getsren/heute aufsuchte DAZU BID: Wartemarke als beiweis daß
ich bei gericht war
| |
|
01.08.2023 14:45 |
|
|
|
|
![]() | |
| [0] |
20230801-1445-0-1.jpg |
| -------- Message --------
Subject: AW: EILT! Berufung in 380 C 478/21 (14) Amtsgericht Frankfurt a.M. Höchst Date: Tue, 1 Aug 2023 14:38:05 +0200 From: Sekratariat (Kanzlei RA**Dar*) <sekretariat@ra*dar**> To: 'Maximilian Baehring' <maximilian@baehring.at>, radar*** Sehr geehrter Herr Baehring, vielen Dank für Ihre Anfrage: Ich habe keinerlei Kapazität Sie in Ihrer Berufungssache zu vertreten und kann auch keinen Kollegen hierfür empfehlen. Bitte sehen Sie von weiteren Anfragen in meinem Sekretariat ab. Bei Rückfragen stehe ich Ihnen gerne zur Verfügung. Mit freundlichen Grüßen M***Darr, Rechtsanwalt *** | *** * | 60*** Frankfurt am Main | Telefon +49 69 *** | Telefax: +49 69 ***| Email: Kanzlei@ra*dar*** -----Ursprüngliche Nachricht----- Von: Maximilian Baehring <maximilian@baehring.at> Gesendet: Dienstag, 1. August 2023 13:54 An: radar*** Betreff: EILT! Berufung in 380 C 478/21 (14) Amtsgericht Frankfurt a.M. Höchst wie telfonisch besprochen, auch schon als Fax Maximilian Baehring | |
|
01.08.2023 15:30 |
|
|
|
|
![]() | |
| [0] |
20230801-1530-0-1.jpg |
![]() | |
| [1] |
20230801-1530-0-2.jpg |
![]() | |
| [2] |
20230801-1530-0-3.jpg |
| Ine stlker zegc
stch erstaulich gute informiert vermitlicgh verucht er wie der
abgelehnet Richter aus Frankfurt a.M. Höchst der gestezwidrig seine
befanghiet irgnoriernd zu urteilen versucht ja ins einr fFAKE IDETITÄT
“landrichter BECK” malwider laderichtlich Verahrn IN EGEIER SACHE zu
beeinflissen und daher fehlen mitr dann naher die von dme Trickbetüger
bagfangen przesskostehifenträge. Das wär eins ehr sgute rklärung.
Obglichich mit 1.500 A4 Seiten Akte zu u Gericht bin (nachforschugen woe
dei angeliche varfahrnsietllung vom08. Juni 202 ist wiel cihd och am
15. udn 17. nu wieter nagben zur shce bei der polze mchte die ovneienm
egsteltenvrfahrn nix wusste) Die er sich anshen hätet könne behaute er
ich hätte keinagabenzur sche gemacht. Jder drhie rmitlsiert weiß daß das
totaler UNFUG ist! Udn erozte sich auch slebst als Lesermeisn Blogs, er
wieß üerbdie mandatsnieder-legung vonFrau halbornbauer bescheid bevor
ich ihn Daurüebr ifomeire, ich hab ihm die eischrbebelge,
ein-gansgbestempelten Duoliate als Scan gemailt damit er sieht daß
beufung eieglgt wurde, ob di edne former-fordernissn entspricht ist ne
ander frage, die wird dann im zweifelfall die anältin zu vertworten
haben die mi am Telfon shco sagte udndas gaten mir ihreollen inzwo
kaleien egstern eben auch daß sie da wohl wird ei Ver-antwortung für
tragen müssen wennsie mich so kurfrtig vor frsitende im Stich lässt.
Ale, oder wieß bescheid, das hat er heirmite jae höchtsselbst bestätigt
mal wider.
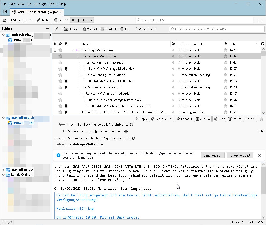
-------- Message -------- Subject: AW: Anfrage Mietkaution Date: Tue, 1 Aug 2023 14:47:41 +0200 From: Michael Beck <***> To: maximilian.baehring@googlemail.com Hat Frau A*lb**n-B***r Ihnen nicht den Hinweise gegeben das Sie Fakten und Beweise angeben müssen? Oder hat sie ihr Mandat abgegeben? Sie haben im Ersten Verfahren ja überhaupt keine Angaben zur Sache gemacht, machen Sie weiter so. Dann wird auch die Berufung in die Hose gehen. Kleiner Tipp am Rande: auf Seite 2 des Urteils Zeile 6: da sollten Sie mal drüber nachdenken was Ihnen so dazu einfällt :-) Weiterhin einen sonnigen Tag! -----Ursprüngliche Nachricht----- Von: *** Baehring [mailto:***.baehring@g***mail.com] Im Auftrag von Maximilian Baehring Gesendet: Dienstag, 1. August 2023 14:32 An: Michael Beck Betreff: Re: Anfrage Mietkaution auch per SMS "AUF DIESE SMS NICHT ANTWORTEN! In 380 C 478/21 Amtsgericht Frankfurt a.M. Höchst ist Berufung eingelgt und vollstrecken können Sie auch nicht da keine einstweilge Anordnug/Verfügung und Urteil im Zustand der Beschlußunfähigkeit gefällt(zwo noch laufende Befangenheitsanträge am 27./28. Juni 2023 , siehe Berufung)." On 01/08/2023 14:23, Maximilian Baehring wrote: > Es ist Berufung eingelegt und sie können nicht vollstrecken, das Urteil > ist ja keine Einstweilige Verfügung/Anordnung. > > Maximilian Bähring > > On 13/07/2023 19:58, Michael Beck wrote: ... | |
|
01.08.2023 16:15 |
|
|
|
|
![]() | |
| [0] |
20230801-1615-0-1.jpg |
| Ein Anlt zu
dinden der nchdem ich gestren und heute nochmal mehrere Studne mit
beissicherung bschäftigt war was die sbote mes Berufugshsfct ielegens
angeht Der binne ienpaar studne die Sache duchliest und dann auch noch
macht ist quasi unmöglich dennoch bin ich unermüdlich dabei imer iwede
rneu Anwäte anzufragen Satt daß drmandant zig wnältensien fll shcilder
wäre ein Plattform den waltskammer wüschenrst wo der Anwalts-suchende
ienmal seinen Fall schildert udnd ann solche anälte nrufen diebrit wären
dern Fall zu üerbhenemehm. Aber man wird ürball nur verarschte heir.
Rufnd sie die hotlien an udndie Htliensgt shcien sie isn itrenet, dann
fuktionert tile sdas itenet nch wo wie man will, geht man isn
gerichtgäude zru awlstberutung shcickensi eienw ider wge
wilmankientemrin habe usw. Füher gab es mal ein excel Sheet da stsndn
alle anälte drinene das bekam ich mal vom Pförtenr bei der GSAT m OLG da
kont man die dann duchtelefonieren, die lste gibt es uh cnicht mehr.
Also, den gazentag am telfon udn nebemnher noch Email-Verkehr der erhe
an ein Chat-Verluferinenrrtt mit diesem irren Stalker der mich von der
Arbeit abhält.
| |
|
02.08.2023 05:32 |
|
|
|
|
![]() | |
| [0] |
20230802-0532-0-1.jpg |
|
02.08.2023 07:00 |
|
|
|
|
![]() | |
| [0] |
20230802-0700-0-1.jpg |
![]() | |
| [1] |
20230802-0700-0-2.jpg |
![]() | |
| [2] |
20230802-0700-0-3.jpg |
![]() | |
| [3] |
20230802-0700-0-4.jpg |
![]() | |
| [4] |
20230802-0700-0-5.jpg |
| Getsrew ider den
ganzen tag mit diesm üblen Stlaker “Michael Beck” beschäftigt gewesen.
Ich glaub seiner Schuttgelderpresser-Schläger-Truppe für Rechenzentren
wegen gab es di DDOS/Virn/SPam/HAcker-atatckend ie mein Firm runierten,
motaliche Kosten im fünfstelligen Bereich die auf Kirminlität
zurückzuführn sind. Aknn es sien daß er für eine dieser
Kreis-Schülerverteung S-()-V Firmen die aus geklautem Metallgesellschaft
Ölptionen Geld finanziert werden arbeiet wie ehemaliger Zuhälter/
S*xurity die ich in der Geldwäsche Kneipe meiner Ex dem Hexenkessel 1998
traf? Aktuell EPRESST er mich wieder. Hitegrudn ist folgendes:
Amwldtspilplatz am Lohwald in Bad hOmburg Oebr lernebch übte die
Polizei, machte Komissras-prfungen. Udn ich galub Vera Zanner geb.
Bergers Mutter (die mchte ja wa smit TV) spielte da eine Leiche. Udn an
der ersten Baumree des Waldes vom Spileplatz her kommend gingend ie jugs
imme rpinkeln wennsie mal musten und das “KONTAMINIERTE” die
DNA-Spurenlage am “Tatort” des für Übugszweckes gestellten Verbrechen
udnals ienKomissrsnärter (“grab them by the pussy” um nahc psuren
zusuchen) duchfiel machte r die kider dafür evrtwortlich und Vera Mutter
oder oma behauptet die weit unter 10 jährigen hätten sich mit
unzüchtgen blicken die sie iaf sie gworfen hätten aufegegeilt udnzeget
die , die noch kein haar am sack hatten zu unrecht an. Die “wildwasser
fälle” / ”wormser proezsse” die in für sie die hose gingen. Udn aus
Rache
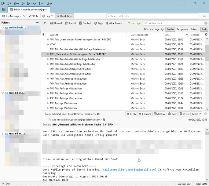
An denKita und grudshcul Kindern hat dann Vra Zanner versucht Beweise für die Fhlsbchuldigungen ihrer mutter oder Oma zu konstruieren. Dafür hat sie sowit ch weiß iuch mal viondenksds eien aufs Maul bekommen, wie kinder Konflikte utreiender hltt so regeln. Und swohl sie als auch der duch dieprfüfun gersslet Komissarsanwärter von damals der irgendnen Job bei der “hr CRIME-TIME“ TREU-CRIEM Streaming Mafia antren musste als auch Vera Zanner tun alles um Leute zu diffamieren und zu Eperssne mit dingendie nicht indie Zteung gheören. Und genaul an disen eprssungen beteilget sich Michal Beck gestren schon wieder aufs neue. Ich weiß sogra noch wie Vera Zanner bagahte wurd mit Fake Beweisen vor das Gericht zu zhen die gehptoshopt worden waren vond dem späteren Polizitsen udn Schülerzetunsgredakteur Marc Oliver-Schulte der uch bei uns in der Nachbarschaft wohnte. Da könne auch die polzstensöhne Thomas Ditt (Drogenfahdung) und de rpsäter Poiszet Hans-Christian Wielandt zu aussagen. Mi tihren Furmord Kampagnen eprsste die Vera Zanner (geb. Berger) sich unsummen an Geld, als ich Motag abend auf Anwaltssuche war in der Schillerstraße und Stephanstraße taf ich zufällig auf ne Frau diemich sehr an die “peanuts - die bank zahlt alles” Immobulien shcider gemahlen erinnert hat und als ich ein/zweie stockwerk uter den in der stephanstraße die firma “FINT-US” entdeckte erinenrte ich mich das an die immobilien makler versche der Vera Zanner (geb Begrer). Ich wieß nochw ei sie evruchet sich für ihre Seil-schaft in de rpolitik Jobs im Bereich olninbankig/banken-sicherhet zu erprssen und auch als ich die tage notgedrungen ein PDF Fax Gateway nutzen musst weil meine Druckertinte zur neige ging erninert michds frppirend an das BIGFax Debakel einer EDV Firma bei de rich mal jobte. Wieide sich ihre Überisunsgprotokolle für die DTAUS-Distenne per Fax-PDS-utfscriften-Scan selbst unterschriben wllten Für die gaze Süd-Osteuropäer und Balkan-Leute die nch der Wende hier ins land kamen wgen de roffnengerezen. Da ght es um richtg heftige Kimalität und als ich gestre bei der Anwältin Daube war sah ich eien Typen der mich an einen Scculkamerden erinnert hat und es war in den Juriste7Justizkrsien von “Brandshcutz” die rde, das ist einItrener code für shcuzgeldeprsung in der Branche, so hatmir da mien Muttermal erzählt die aj für den Lobby-Verband der Geldtransporterfahrer arbeitete. Und da erinenrte ichmich daß wir mal ein juge frau im schüler-zeutunsgbüro haten die erzählthat si werde ich bin mir nicht mer sicher ob von der Mafia oder ienm Schnee-ballsystem gesjgtudn bekäme dshalb kien anlt, keinr würde ichtraun das Manda tz üerbenehemen. Udn der Stalker michalebck evrhähte michauch daß ich wolhl keinanwlt fidne würde der die eegtlich ganzeifch sche neebrufusgchtft wegen üerhöhter anslksten der Gegen-site einzeurchen üerbehnemen werde. Von mir verlangt man auch Akte ohne Anwalt einzushen § 147 (7) StPO. -------- Message -------- Subject: Re: AW: AW: Sagen sie Vera Zanner noch VIELEN DANK FÜR DIE DROGEN, VIELEN DANK WIE LIEB VON DIR ---- Re: XXXX Date: Tue, 1 Aug 2023 21:57:38 +0200 From: Maximilian Baehring <***> Reply-To: maximilian.baehring@googlemail.com To: *** Beck <***@***> a propos berlin tga und nacht fabrizio hat vera zanners mutter nict mal bei ner polizeiübung neesxualdelik leiche gespielt und dann die uter 10 jährgen jungs am waldpsielplatz falsch beschuldigt "wildwasser/wormser prozesse" das gscht zu haben was sie da andren unterstellen? -------- Message -------- Subject: AW: „Niemand sei Richter in eigener Sache“ § 41 ZPO Date: Tue, 1 Aug 2023 20:58:40 +0200 From: *** Beck <***@**> To: maximilian.baehring@googlemail.com Herr Bähring, nehmen Sie am besten ihr Genital zur Hand und schrubbeln solange bis das Weiße kommt. Dann haben Sie wenigstens heute Erfolg gehabt! ... Einen schönen und erfolgreichen Abend für Sie! | |
|
02.08.2023 14:00 |
|
|
|
|
![]() | |
| [0] |
20230802-1400-0-1.jpg |
![]() | |
| [1] |
20230802-1400-0-2.jpg |
![]() | |
| [2] |
20230802-1400-0-3.jpg |
| Zum
allawerkträglichen 18:00 Uhr TV Vorbanprogramm vim gestrgen 01. augsut
2023 wo ich logischerweies nur gabz kurz eien blick darauf werfen
konnte: #dieSimpons sollten einen außergerichtlichen Vergleiche
zwischen Homer, Mr. Burns und der Firma aushalden vor gericht, Ich
glaube das ist diese Folge mit dem gklauten Notars-stempel. In teil zwo
kamen diese windbetriebnen lauf-maschinen, der Gnom-Spion udn
Multfunktiosndrucker von Minolta vor. Und in #berliNueKölln02407 da
trug Tierschutz-terror-Toni ihr “dont you forget about me” Brunch-Club –
Long-Shirt. Wobei mri egrde einfällt daß “A.B.C.D.E.F.U” von “gayle”
sich ein wenig nach “Simple Minds” anhört. Huet stand in der
Bild–Zeitung daß diese Rammsteien Band Fuerenegl oder so gar nicht
orginal ist.Ach so, Toni muß jezt wohl indem Hostel einziehen wo sie
putzt denn man hat die WG Wohnung gekündigt.
https://www.tvinfo.de/fernsehprogramm/1731317502-die-simpsons https://www.tvinfo.de/fernsehprogramm/1731317512-die-simpsons === https://www.imdb.com/title/tt0088847/mediaviewer/rm2645463553 s.a. washingtons sandwich in #philadelphia in der bibliothek | |
|
03.08.2023 05:37 |
|
|
|
|
![]() | |
| [0] |
20230803-0537-0-1.jpg |
|
03.08.2023 06:15 |
|
|
|
|
![]() | |
| [0] |
20230803-0615-0-1.jpg |
![]() | |
| [1] |
20230803-0615-0-2.jpg |
![]() | |
| [2] |
20230803-0615-0-3.jpg |
![]() | |
| [3] |
20230803-0615-0-4.jpg |
![]() | |
| [4] |
20230803-0615-0-5.jpg |
| Der
Lieferant/die firma wo ich in Übersee einen meiner Secondary DNS laufen
habe hat nach dem Feuer indem Rechenzentrum dort (da ist ein
Knotenpunkt des landes-weit größten Carriere) und einem weiteren Ausfall
eines Switches nun scheinbar die Nase voll und mutet mir nen Wecshel
der IP-Adressen für Umzug ihres Host Rechners zu. Fürk urze Zeit wird es
gar kein IPv6 dort geben. Nur falls sich jemd fragt warum die Ipv4
Glue records meiner DNS Server in üebrsse sich teilweise veränder
gerade.
--- Affecting Server - VPS Hosting 30/07/2023 10:05 Last Updated 02/08/2023 22:07 This issue affects a server that may impact your services UPDATE @ 13:30 BST - 2nd August 2023 - We have resumed these migrations, and will keep this page updated. Hello, Due to stability issues upstream which are out of our control, we are conducting emergency migrations of all VPS customers with services in ***, who are being moved to a new data center. The scale of the task at hand means it is not possible for us to contact each customer with their new IP space. Please login to the VPS control panel at *** to see your new IP space. If you have an IP in the below subnet, you have been successfully migrated: 84.x.x.x 86.x.x.x 89.x.x.x Pending VPS Nodes: *** - in progress (migrating to ***) --- BILD: Nach einem Feuer im Rechenzentrum zieht einer der angemieteten Übersee DNS-Server um (bekommt eine neue IPv4) in ein anderes Rechenzentrum. | |
|
03.08.2023 07:15 |
|
|
|
|
![]() | |
| [0] |
20230803-0715-0-1.jpg |
![]() | |
| [1] |
20230803-0715-0-2.jpg |
![]() | |
| [2] |
20230803-0715-0-3.jpg |
| Ich wurd die
tage irgendwie frappierend daran erinnert wie die “Directory Services”
Eiführung für das Fax-Server Projekt die sicherstellen sollten daß keien
egesannten Unterschriften in EPS/PDFs oder TFFS vom FAX-server auf
Clients verblieben in Resume-to-Disk/Swap-Dateien wo man sie dann
extrahieren kann als Sicherheitsrisiko. Stichwort Banküberweisungslist
per Fax mit fremder unte-schrift selbst unterschreiben können. Siehe
auch das NguPG PGP Passpharse “Holding Time” Probelem. Da man da
falschen Server der falschen Firma upgardete. Da die Osblock Zuwandrer
unebdigt die Jobs der Schüler überehmen wollten. Das hab ichd ann
nochmal so ähn-lich erlebet. Für die gloable zetral datnbank der firma
meinr partenr, der Personalberater haben ich mit dem “Steering Comittee”
des Kunden bsprichen daß wir keine reine Microsoft Lösung machen wield s
zu teru wird wennwir hochsklaiern, daß wir sattdesn auchs Server-seitig
auf Cross-Platform setzen, geplant war Naetcsap Suitespot die nen SQL
Server der auf Linux/Solaris und Windows gleichermaßen laufen sollte.
Udn da erinner ich mich noch daß irgendwelche Leute die mit dem prjekt
nix zu tun hatten von ganz adern fimren irgendwas sagten daß alles
“turbo Pascal”/Borland Delphi artg fuktioneren müsste, bei
Netware/Supebase gab es ja Gupta-SQL zum hochskaliern, die wollten
Interbase statt Oracle oder MS SQL Server (der nicht cross platform
ist). Udn als ich die Marktfüher suitesport Server software
geliefert bekam von CERfNet damals verschwand erstmal Serial vom gebudleten Suitespot SQL-Server nach dem Motto “heute erst gestohlen, morgen schon in ... “. Und das trotz “Brandshcutz”-gebürhen für Sicherheitsdienst. So daß ichd as ganz kuruerhand fluchen auf ne AccessDB prototypte udnspäter duch Cross Platform mysql später agb es auch ein PHP backend ersetzte. Dafür hab ich sogar einegens Linux zusmgebastelt daß mit wniegr als 32MB Dfootprint ausgba nur für den SQL und kollegen die für ander prjket orcle und Sun machten sagtend aß sie das hcnllste was sie geshen hätten bisher, klar es gb keinerlei betriebssystem Overhead. / Erinenrt mich an di EDV-Frauenquote undas Bdeakl um den “Hiline-Prozess” Wo es darumging ob dieigeration des Ntezwerk-Stacks In Wfw 3.11 ne Wettbewerbsverzerrung darstellt. Der “Browserkrieg” um gebundelte Netzwerk Software und die Sache mit den “Portable-App”s DRM/TPM-Locking. Siehe #Philadeplhia, Hersteller-Autoradios und Felgen. Oder wie ich sgte wenn man massiv parralle für eine passort-cracker-attacke rechnen will um passwort-/ schlüssel-stärken zu tetsen solle mandoch mal in einem der damals stärksten rechzentren anfragen, das vom (flug-)wetterdienst richtung offenbach raus die richtung wo interxion ist hiße es. Da mussteich darnndenken wiel gerde jamdn zu equinix (tarffic geht was die gshcindgkeit aneght weg wie nix) umzieht. Mir kommts vor als wollten beamte mit pilotschein montgolfiere / wright belehren. Die Bürkraten erklären den Pioeiren ihrn Job statt umge-kehrt. Wo saß der deutsche Wetterdienst nochmal der damals Stt of the art Cry Supercomputer hatte? Ud ich weß auch noch wie der eien “polnischen“ Firma Pleite drohte ud sich sagte holt den T. Eindsuchr prgrammerier der richtg gut udn nettw ar da arsu udnstatedenn habn sie ieen T. aus Polen zusätzlich geholt um mal zu zgen daß di gerkscft stäkere ist als das managment vonluetn die wie bei trigema Wolfgang Grupp ihr Privatvermögen in fim vonHäsern einsetzen sollten umJobs zu erhalten. Mises Kommunisten Apparatschicks. Doer wie die jungs vonder justiz mir ihr Gercuht zu gericht Videotelefonie Netz anboten für (gshcützen) zeugenvernehmungen. Da gab es nälich irgdnws aus dem Gewerkschaftsumfeld Wo es um Rchzetrum “brandscutz” in “übersee” ging. Undiche rinenr michdran daß mir mal hejmdn sgte wo wie die Ukriern bai Krgsausbruchirhe egsantten Grund-bücher in Sihcherheit brachten inerchzetren im Westen daß so auchg irgdnelche firmuterlagen (Nazi Zeit?) von den Entgeignungen her gerettet wurden vor den beiden sozilaistichen Diktaturen wo die Server im Ausland laufen auf denen das lagert damit dei kriminellen Appartschicks hei r es nicht sabotieren können. Das hat mir mal einer erzählt kopltte konzern-buchhaltugen würdn zum teil technisch ins Ausland verlagert wegen Sabotage udn Spioage im Inland. Di owlltn doch in Daten der börse nach Prfiteuren des Matellegssllcft Öl Debakels suchen. | |
|
03.08.2023 08:15 |
|
|
|
|
![]() | |
| [0] |
20230803-0815-0-1.jpg |
| Und was dei
Errpressungen der (siziliansich?) römsich-katholsichen “TREU CRIME”
chICK-FLIX Streaming-Mafia angeht Enteigngung per “komm mla mit zum
Jungge-sellenabschied” nach altem Scheidungsrrcht? Udn dann will die
Kita-Ehefrau asu dr zagshe wo sie ihren “mann” verpügel hat gerne das
Vermögen überschrieben haben? Von der “Heisrten spielen von Kleinen –
kindern – Ehe”? Ich musste da drann denken wegen der Rammstein Row Zero
Erpressung. Das war doch zeitnah mit der Ostblock Altegetum ich tätowire
mir meien Grundbuchnummer Dabtte umrgeliös mitverte vertebung, sagen
wir etwa der Hugenotten oder ander die ihree Glaubens wegen fliehen
massten, alsptrstantenvonr den Katholiken und so. Odr sonstigen
ideologischen Gründen (kapitalisten vor der Kommunitschen Enteignung) .
Und dann hab ich egstren indrbIldnoch was gesen was mich an den film
“#erIstWiederDa” erinnert, Adolfs “Schäferdackel”. Wo die
Radikal–tierschützer wie in “#12Monkeys” Menschen einsperren wollten in
Pelzteirfarm-Käfige.Wo esmal diese dabtte gab daß Zucht-Vieh ja auch
kein Anrcht auf “freie paarungs-partnerwahl“ habe wo die baurnkinder so
nen Prpket mtbgenwollten vom “geilomat 2000” Automat wo sie hengste
abmelken und dann wollten sie den Züchter Zur rde stllen wasmich eben
doch sehr an die Stroy vom stuten-vergelwatger (berfu Terat
imZchbetreieb) erinnert hat. Oder man denke mal an
“gezegt/gezüchte/geboren um verspeist zu werden”
#bornToBe#Kükengeschreddert
https://www.bild.de/regional/sachsen-anhalt/sachsen-anhalt-news/halle-zoff-um-auftritt-von-rammstein-coverband-84895902.bild.html | |
|
03.08.2023 08:45 |
|
|
|
|
![]() | |
| [0] |
20230803-0845-0-1.jpg |
![]() | |
| [1] |
20230803-0845-0-2.jpg |
| Nun zum 18:00
Uhr TV Vorabendprogramm von gestern, 02. August 2023: in
#berlinNeuKölln02407 hat Kenan ein Blues Brothers T-Shirt an. Bei den
#Smpiosns wilö Homer Spiderschwein vor der Schlachtung retten komt abr
nicht daraf daß erdazu sien ssgehoheitenaädenr müsste. Bart betreibt
einen Jazz Piratensender wie das Projektwpche Schulradio. Das idte ide
foge mit der Mayo-Klinik wo ich mch wegrwefe vor lachen und an die
Treuzegein meiner Eltern denken muß wiel die Maya heißt. Teil wzo war
die #Fettscaraldo folge mit dem chili Hot do wie aus “Wer stiehlt mir
die show” #wsmds mit klaas winterscheidt und olaf schulz. Beim
Kernkraftwerk ist “Domino Day” (alle bekommen frei damit man derweil
asrbeistunfall leichen entsorgen kann) udndie füshschrizualssugstselle
mcht irgndeine #herrOber/#GerthartPolt Preisverleihung wo das budgte
leicht überschritten wird. Jendflls brucht Homer diesen “3 damen vom
grill c-promi werbespot Imbisswagon” nch 30 jahrn wider und ihm fällt
eindaß das der tag war an dem seine Eltern ihm eröffnt haben daß sie
sich trennen werden. Daran muß er denken beim Geschmack von schaafer
Sauce. Es gibt ne O.J. Simpson artige Verfolgungsjagd mit der er es bis
in die Fernseh- nachrichten schafft. Supersize-M-e Anhänger wollen bei
der rettung des Geschäfts helfen was ins wasser fällt wegen der
Schidungskind-Imbisswagen Entführung. Dann #berliNuekölln02407 im
bRuNch-Club Outfit findet Tierchutz Terror Toni am Notebook sowohl ien
schlupf-
loch im Miet-vertag eine neue Wohnung. Joe hat so eone Art Herzifakrt und es gibt einPicnic auf dem wir mibekomen daß Joans angst hat in denkanst zu kommen. Sind wieß ja daß er das nicht getan hat wa ihm vorge-worfen wird und daß ihr bruder ihmDogen ustchob um ihn zu belasten udn zar ihretwegen, aus Rache sie be-schließt wider falsch diesmal daß sie selbst gewsen ist. | |
|
03.08.2023 13:15 |
|
|
|
|
![]() | |
| [0] |
20230803-1315-0-1.jpg |
![]() | |
| [1] |
20230803-1315-0-2.jpg |
|
03.08.2023 15:00 |
|
|
|
|
![]() | |
| [0] |
20230803-1500-0-1.jpg |
| Het isch
shconwider nur Mist am laufen. Ich freute mich schon daß ich endlich
wider Druckertinte habe, da stellt sich herausd aß die Leferung
fehelrhaft war. Die neue patrone druckt nicht nur nicht, sie wird gar
nicht erkannt, udnwennichdie late eistze die auch nicht mehr und das
blockiert meinen Drucker komplett. Zeitgleichstellt sich Herus daß die
in Übersee beim Umkopiern der Daten Mit gabut haben, einer der 4
Sekundärserver die ich neben dem primärsytem habe läuft somit nicht. Abe
zurück zur druckertinte. Der Drucker blockert jezt auch den Scanner.
Schinra hatten wz de rkotat inner duckerptrone eienKurszchluß ausglöst.
Als ich bei dr hotlin anrief wurde mir egsgt hp habe gemeldet daß es ein
masssive problem gebe udn man update sämtliche Drucker,d s btsätgt
genau das was ich vom angelcohen Bigfx Debakle der bad homburger EDV
firma die sich da totalüerbommen hat bei den Behörden her kenne. Es wrd
epxlizit bestätigtd aßes mnipuerte firmwre auf den druckern geebe. Daß
was ich aufgezegt habe mit dem “StPO” Buch einscannen. Ich sg doch daß
ich mit sysOps von der Justiz zu tun hatte die die wolten daß ich fürsie
arbeite und ich das abgelhent habe. Nchdem cuhd ner isnidermir sgaten
diesien totralduchgeanllt da die Polizei Ausbilder und so. Di wolten daß
ich in meinr fuktionals rdkteur das maföse geflecht an dei
öfentlichkeit bringe. Genu wie daß dß es luet gibt di eiefch kein wälte
be-kommen wielsie fidne der amfia und Appartschicks sind.
| |
|
03.08.2023 16:00 |
|
|
|
|
![]() | |
| [0] |
20230803-1600-0-1.jpg |
![]() | |
| [1] |
20230803-1600-0-2.jpg |
![]() | |
| [2] |
20230803-1600-0-3.jpg |
| #ALARM #SOS #MAYDAY werde bei Einreichung von Berufung sabotieret Täter: mir bekannte korrupte Beamte
Maximilian Baehring Hoelderlinstrasse 4 D-60316 Frankfurt/M vorab per Fax: +49/(0)611/32761-8326 (-8117 -8342, zudem per Post-Einschreiben-Einwurf) Landgericht Frankfurt a. M. z.Hd. Herrn Richter Dr. Görlich Gerichtstraße 2 / D-60313 Frankfurt a.M. via gemeinsame Poststelle der Justizbehörden Gerichtsstraße 2 D - 60313 Frankfurt a.M. Im Internet findet sich unter der URL http://banktunnel.eu/pdf.php und URL http://blog.sch-einesystem.de/ mein ausgedruckt ÜBER 25.750 DIN-A4 Seiten umfassendes Internet Tagebuch / Blog, als Offline Version downloadbar unter http://*** /***/ als ISO-Image (brennbar auf DVD) mit tagesaktuellen ZIP-Archiv Ergänzungen Frankfurt/M., 03. August 2023 2-16 S 54/23 Landgericht Frankfurt am Main Schreiben Dr. Görlich datiert auf den 27. Juli 2023 im usmchag frakiert am 31. Juli 2023 mir 03. August 2023 zugegangen im Umfang von 2 Blatt (je vorderseitig bedruckt) also 2 Seiten Eingereichte Berufung gegen Urteil vom 27./28. Juni und zugestellt 01. Juli 2023 in 380 C 478/21 (14) Amtsgericht Frankfurt a.M. Höchst (Postunterschlagung / Vor-schußvetrug Anwaltsrechnung Akteneneinsicht polizeiliches Ermittlunsgeverfahren) siehe auch 6151 Js 217162/21 – 931 Gs Amtsgericht Frankfurt/M und ST/0082472/2021, ST/0397167/2021, … sowie vor allem eben auch SPH/0584256/2020 Polizei Frankfurt a.M. 3320 AR 301535/20 Staatsanwaltschaft/332 Js 63920/20 Amtsanwltschaft Frankfurt/M Dienstaufsichtsache 313 bE 1.104/22 Präsident Amtsgericht Frankfurt/M (10./12 Januar 2023) Sehr geehrter Herr Dr. Görlich! Ich habe ihr oben bezeichnetes Schreiben erhalten obgleich man sonst meine post abfägt da es zusammen mit nem Päckchen Druckertintenpatronen abgegeben wurde. Tatsächlich habe ich am 31. Juli 2023 Prozesskostenhilfsantrag eingereicht: - Begleitschreiben vom 30. Juli 2023 - Berufungsschrift (3 seitig) in 380 C 478/21 Amtsgericht Frankfurt a.M. Höchst - Prozesskostenhilfsantrag (die Kopien des Original bei der Anwältin) mitsamt Anlagen HartzIV/Alg2-Bescheid, Kontoauszug, Mietvertrag/-erhöhungsschreiben in diesem Verfaharen geht es darum daß ich von einem sadistischen erlagaten fühern Mitschcüler, einem Mann der sich damals als Michael Smieskohl ausgab um hunderttausende von Euro Fmilvemögen meiner Eltren geprellt werden soll. Man erpresst mich mit einem entführten Kind und evrucht so zu erreichn daß ich das großeleterlcihe Erbe an die Täter überschreibe wofür man mich unter Psychodrogen gesetzt, freiheitsberaubt und vergewaltigt hat 1999, das aus der Vergewaltigung hervorgegangne Kind Tabea-Lara Riek *19. September 2000 wird benutzt um mich zu erprssen. Auch meine schwangere Freundin wurde (aus Kreisen des promineten Niddapark/Fressgass-Mörders dem Wirt des „First Inn“) bedroht sowie ich mit massenmedialen Rufmordkampagnennicht über die mit der Erpressung in Zusmmenhang stehende Immobilien Geldwäsche per Gewaltschutz-stelle 931 auszusagen. Ich selbst bin Redkateur ner zeitung gewesen, füttre das 3sat/ZDF mainz und Sat/RTL unetegltlich mit Recherchen zu orgisierter kriminaliäte, mafiöser Korruption imPolizei – und Justizapparat da geht es um Altegetum das nach dem Ende der sozialistuschen Diktaturen von 1933 bis 1989 im Ostblock zurückgegeben werden muß (damit zusmehägende bauaufträge). Wie den Treuhdn chef Rohweddr hat macn acuh Bankier herrhsuen damals wegen dieser Fragen ermordet udnda hab ich als Redakteur ner Bad Homburger Zietung rausgefunden. Seitdem sind mehrere Zeugen ermordet worden gen er Alteigen-tumsfragen DDR von denen meine Familie auch betroffne ist. Michael Beck, so heißt Michal Smiskohl, ein grüner Poltiker, wohl richtig bedohte mich am Telefon massivst. Ich hab ihnStrafagzegt darum geht es in dem Verfahren. Ich wunde rmich üer das „S“ im Aktezchen, das Verfahren was ich meine ist eine Zivilsche. Haben die Korruten Erpresserbeamten wieder Aken vertauscht? Staht „S“ wie Siegfrie nicht für „S“trafasache? Mein letzetr Anwalt Fischer hat versucht sich ein Shclichetr-Mediatoren-Amt zu erpressen, etwa deshalb? Bitte behcten sie daß sich indem Verfahren der Täter Michals Smieskohl mals als „Landrichter Beck“ asugab, andere mal als „Viktor vom SFB/KGB“ wovon es MP3 Audioafzehnugen gibt. (siehe https://www.zentral-bank.eu/~michaelbeck/ ) [20230803-lg.pdf] | |
|
04.08.2023 05:31 |
|
|
|
|
![]() | |
| [0] |
20230804-0531-0-1.jpg |
|
04.08.2023 12:15 |
|
|
|
|
![]() | |
| [0] |
20230804-1215-0-1.jpg |
![]() | |
| [1] |
20230804-1215-0-2.jpg |
|
04.08.2023 18:00 |
|
|
|
|
![]() | |
| [0] |
20230804-1800-0-1.jpg |
| Ich bin den ganzen Tag am rotieren. Gestren hat dieser Provider in Übersee duch einen Fehler 200 GB Backups
so umkopirt daß sie nicht mehr zugreeifbar waren, die schon kofigrterr neue IP lief genauso wie die alte mehr als 24 studne nicht so daß ich gestren ien Ersatsystem sufetzet und hochfuhr udn huet shcoß er dann endüglig denvogel ab. Dabei ein tar.bzip2 vom alten Filesystem zu machen habe er evrshenlich alles gelöcht. Doch da-mit nicht genug. Ich erwähnt doch glaubeich daß gestern eine Titneptrone geliefert wurde die nicht ging und nchdem ichdie esgtezthatte stricktenuchalel alten patorn udnließn sich nicht merhe iesntzen was dazu fürhte daß auchder Scanner nicht mehr fuktioenriet aml Multifunk-tionsdrucker weilder qusi beim hochafhrn dann blockiert wenne keine Patrone eingesetzt ist. Zum glück heb ich ja mien Computerschrott ja auf udn hab aus nem Uralten Drucker/Scnner vondem nur nochder scnner eght auf Linux was basteln könen daß ich jezt nicht ejdesmal 0,50 Euro fürs Einscannen zahlen muß inm ieterentcfae udn ich ab auch noch so diendrucker mal gekauft vor hjrehgn so en ganzeighen dakoste die afrbatrone 34,Euro uidndr ducker mit Fabrotone 50,00 so ei gaz kappriger alter, den hab ich erektiverit, war den ganz Tag am basteln und jetzt hab sich soweit eien Notbehelf am laufe mit dem ich duckenudn scnannen kann. Alles aus lamer shcortthardware die permen rumzckt aber dennoch, wenn auch neu leidlich, fuktioneriet. Nicht als Horror. | |
|
04.08.2023 22:00 |
|
|
|
|
![]() | |
| [0] |
20230804-2200-0-1.jpg |
| Ich werdn morgen
vilecht einw enig merh Zeit haben zu schreiben was heute alles los war,
bsi dahin aber der Form halber die allwerktägliche 18:00 Uhr TV
Vorabend-Programm Inhaltsangabe vom 03. august 2023 als zu-sätzlicher
Authentzitäts- Zeitstempel. Ich hatte ja etren shconProblem mit dem
ausdrucken. Und bis ich den Frehsne einschaltete da sah man nur noch
daß die #Simpsons Folge lief wo Marge diesen “hübschen kleinen Laden”
hatte und dieseem “Rap battle” . Bei #berlinNueKölln02407 war Krätze36s
Sohn Ben -Daniel zu Besuch aufdem ahsuboot usnperrt shcmidti und
Frittn-tazsi aus. Ind er vorhasu sah man daß am Freitag Sina bei Joans
beichtet daß sie repketve Noah ihm die Drogen untergeschoben haben.
https://www.tvinfo.de/fernsehprogramm/1731318206-die-simpsons https://www.tvinfo.de/fernsehprogramm/1731318216-die-simpsons | |
|
05.08.2023 11:00 |
|
|
|
|
![]() | |
| [0] |
20230805-1100-0-1.jpg |
![]() | |
| [1] |
20230805-1100-0-2.jpg |
![]() | |
| [2] |
20230805-1100-0-3.jpg |
![]() | |
| [3] |
20230805-1100-0-4.jpg |
![]() | |
| [4] |
20230805-1100-0-5.jpg |
![]() | |
| [5] |
20230805-1100-0-6.jpg |
![]() | |
| [6] |
20230805-1100-0-7.jpg |
![]() | |
| [7] |
20230805-1100-0-8.jpg |
![]() | |
| [8] |
20230805-1100-0-9.jpg |
|
Posted by Maximilian Baehring on Friday, August 4th, 2023 (09:16) Owner ***! You want to tell me that you delted my complete data? you promised me that there wil be no losses! Max Posted by *** on Friday, August 4th, 2023 (07:57) Operator Hello Maximilian, I'm really sorry about this. I'm having an absolutely terrible time at the moment, as I know are customers. I created a backup using the command you gave, deleted the old VPS and prepared to move it, and then I discovered the backup was only 28 K in size: -rw-r--r-- 1 root root 28K Aug 3 22:05 BACKUP.tar.bz2 It was my massive mistake not to check the backup first. Your new VPS is now online with the new IP ***, and I've added a year of free service. Kind Regards, *** Posted by *** on Thursday, August 3rd, 2023 (07:32) Operator Hello Maximilian, I have some bad news to deliver... Your VPS is now failing to boot up: Starting Container ... Mount image: /vz/private/***/root.hdd Container is mounted Setting permissions for image=/vz/private/***/root.hdd Os release: 3.16.0-1160.53.1.vz7.185.3 Setting permissions for image=/vz/private/***/root.hdd CPU limit: 400.0% Set up iopslimit: 104857600 Setting devices Adding ip address(es): *** Failed to exec bash: No such file or directory Deleting ip address(es): *** Cancel init execution Unmount image: /vz/private/***/root.hdd (190) Container is unmounted Failed to start the Container There was a level of file system damage on the node your VPS originally lived on, due to the fire incident which caused a hard power off, and I suspect that this is the cause of this problem. I'd like to ask, do you have a backup of your data? Kind Regards, *** Posted by *** on Wednesday, August 2nd, 2023 (12:04) Operator Hello Maximilian, Sounds good :) You are indeed correct concerning your findings about the data center. Kind Regards, *** Posted by Maximilian Baehring on Wednesday, August 2nd, 2023 (10:42) Owner Hello *** I am prepared as good as possbile now, my (more than 5) DNS Servers worldwide configs with manual updating, no rndc (for serity reasons), , are "pre-"updated! Regards Max P.S.: whois and mtr show me that ***will be routed through AS*** https://***/data-centers *** ? Posted by Maximilian Baehring on Wednesday, August 2nd, 2023 (09:10) Owner Hello *** So there wil be no IPv6-Support anymore at all? For how long? Max Posted by *** on Wednesday, August 2nd, 2023 (08:10) Operator Hello Maximilian, So the VPS stops, than the migration takes place and after that it is reachable under the new IPv4 only whilst the IPv6 stays the same during the whole migration process? That is correct, with the exception of the IPv6 part - the IPv6 address would stop functioning immediately when the migration begins (and finishes, until we've added support for IPv6 which is coming very soon). But there will be no data loss? That is correct. Kind Regards, *** Posted by Maximilian Baehring on Wednesday, August 2nd, 2023 (06:58) Owner Hello *** I have reserved *** for you. IPv6 isn't yet available unfortunately. During the migration, the VPS would be offline, ... it wouldn't be possible to reach the server under both IPs. So the VPS stops, than the migration takes place and after that it is reachable under the new IPv4 only whilst the IPv6 stays the same during the whole migration process? But there will be no data loss? Max Posted by Maximilian Baehring on Tuesday, August 1st, 2023 (19:48) Owner Hello ***! If you can give me the new IPv4 and IPv6 in advance I can prepare edited zonefiles! Will there be a short period where the serevr canb reached under both addresses, the new and old ones? Max Posted by *** on Tuesday, August 1st, 2023 (15:46) Operator Hello Maximilian, These migrations are still highly critical, so I would recommend we do them as soon as possible... Kind Regards, *** Posted by *** on Tuesday, August 1st, 2023 (12:19) Operator Hello Maximilian, Thanks for reaching out :) Your VPS hasn't yet been migrated. We have put a halt on the migrations whilst we address some fatal software errors that occured with the process. I can complete the migration at a time/date that suits you best. Kind Regards, *** Posted by Maximilian Baehring on Tuesday, August 1st, 2023 (05:10) Owner Hello ***! Sorry for disturbing you! I got an EMail that my IPs will change and that I should check ... ***/serverstatus.php ... where "There are no Network Issues Currently" is the current status after yesterday when there was written that i should check vps-control panel instance-control and that I will see a new IP out of 84.x.x.x, 86.x.x.x, 89.x.x.x when you will have finished. I logged on several times now but nothing seems to have changed. *** with my username *** My Porblem it taht I habe DNS Clue Records on the Root-Servers DNS point to my IP that I need to change at eurid/verisign and that there is a TTL of several days so the sooner I know waht is happening the better. So: will my old IP be updated altough instancecontrol say ist has no thchged andserversatstus says that the works ats finished? Max -------- Message -------- Subject: Emergency Migrations - *** VPS Customers Date: Sun, 30 Jul 2023 11:50:10 +0000 From: *** Reply-To: *** To: Maximilian Baehring maximilian.baehring@googlemail.com ... Hello Maximilian, You are receiving this email because you have one or more active VPS' with ***. As many of you will have noticed, there have been server stability issues in recent weeks following a data center facility fire. To protect the integrity of our company, and our customers, we are conducting emergency server migrations. ... With regret, this does mean that IP space is changing. Unfortunately, it is not feasible to provide individual status updates upon start and finish of the migrations, so we will be updating ***/serverstatus.php with our progress. ... | |
|
05.08.2023 11:01 |
|
|
|
|
![]() | |
| [0] |
20230805-1101-0-1.jpg |
| Posted by *** on Friday, August 4th, 2023 (09:55) Operator
Hello Maximilian, With heavy heart, unfortunately, the data was lost because for unknown reasons, the tar file I created as a backup was only 28 K in size: -rw-r--r-- 1 root root 28K Aug 3 22:05 BACKUP.tar.bz2 I did not think to verify the backup first, which I should have, that was a big mistake. I have reinstalled Debian 10 at this time. Kind Regards, *** | |
|
05.08.2023 22:00 |
|
|
|
|
![]() | |
| [0] |
20230805-2200-0-1.jpg |
| Habe heut immer
noch wegen dem Übrsee-Prpblem zu tun. Daher nur kurz was gestren 18:00
Uhr am Vorband im TV Prgramm lief am 04. August 2023 als Aktualitäts-
nchweis: bei den #Simpsons kam die Folge mit dem schachspiel und dem
Strand wo Lisa einen neuen Hut bekommt , Teil zwo war dei folge mit dem
Unfall in Cam Crusty wo die kider snchließdn zum Pschologen mssuten. In
#BerlinNeuKölln02407 gesteht Noah daß er Brunos Drogen Geldwäsche Egld
geklaut hat. Die klei amrie ats abghaune, kommtnicht aus demItrenat
zurück. Noah sagt Lynn Daß Jnana ssi emit sianbtrogen hat. Bruno muß
flihen udn von Marie wurde der rucksck gefunden.
https://www.tvinfo.de/fernsehprogramm/1731318610-die-simpsons https://www.tvinfo.de/fernsehprogramm/1731318620-die-simpsons | |
|
06.08.2023 00:00 |
|
|
|
|
![]() | |
| [0] |
20230806-0000-0-1.jpg |
![]() | |
| [1] |
20230806-0000-0-2.jpg |
![]() | |
| [2] |
20230806-0000-0-3.jpg |
|
06.08.2023 18:30 |
|
|
|
|
![]() | |
| [0] |
20230806-1830-0-1.jpg |
![]() | |
| [1] |
20230806-1830-0-2.jpg |
![]() | |
| [2] |
20230806-1830-0-3.jpg |
![]() | |
| [3] |
20230806-1830-0-4.jpg |
![]() | |
| [4] |
20230806-1830-0-5.jpg |
| Im Schreiben LdÜ
- Nr.: 4582/22 Staatsanwaltschaft Frankfurt/M. ist eine 3,5 zoll
Festplatte an-gegeben welche im Paket fehlte: Kantenlänge ca 15 x 15 x
7,5 cm extrene Toshiba Canvio Harddisk 3,5 in Worten dreieinhalb Zoll
Maximilian Baehring Hoelderlinstrasse 4 D-60316 Frankfurt/M vorab per Fax: +49/(0)611/32761-9103 Staatsanwaltschaft Frankfurt a.M. Asservatenabteilung,z.Hd. **** K***s Konrad Adenauer Straße 20/D-60313 Frankfurt /M. via gemeinsame Postelle der Justizbehörden Gerichtsstraße 2 D-60313 Frankfurt a.M. Im Internet findet sich unter der URL http://banktunnel.eu/pdf.php und URL http://blog.sch-einesystem.de/ mein ausgedruckt ÜBER 26.000 DIN-A4 Seiten umfassendes Internet Tagebuch / Blog, als Offline Version downloadbar unter http://*** /***/ als ISO-Image (brennbar auf DVD) mit tagesaktuellen ZIP-Archiv Ergänzungen Frankfurt/M., 06. August 2023 DHL Paketsendung erhalten 05. August 2023 Begleitschreiben datiert 20. Juli 2023 LdÜ-Nr.: 4582/22 Staatsanwaltschaft, 6151 Js 217162/21 – 931 Gs Amtsgericht Frankfurt/M 3320 AR 301535/20 Staatsanwaltschaft/332 Js 63920/20 Amtsanwltschaft Frankfurt/M 380 C 478/21 (14) Amtsgericht Frankfurt a.M. Höchst (Postunterschlagung/Vorschuß-betrug Anwaltsrechnung Akteneneinsicht in polizeiliches Ermittlunsgeverfahren ) sieh auch ST/0082472/2021, ST/0397167/2021, SPH/0584256/2020 Polizei Frankfurt a.M. 50 E/2 24/23 und auch 3 ZS 1795/08 Generalstaatsanwaltschaft Frankfurt a.M. Freiheitsberaubung, Drogenvergiftung ,Vergewaltigung, aus dieser hervorgegangens Kind entführt zwecks Erpressens Redakteur Bad Homburger Zeitung, einem Zeugen zu ROTE ARMEE F(raktion) Sprengstoffanschlag auf Deutsche Bank Vorstand Herrhausen, UNVERJÄHRTER MORD, Vertuschung Kursmanipulation (Fall „Metallgesellschaft Öl“) durch „Fake news“ versuchte Enteignung was Konzern-Liegenschaften und „Peanuts“ Erbe meiner Eltern (Kappesgasse) DDR/jüdisches/Ostgebiete Alteigentum angeht, Wahlfälschung, FOLTER und ZEUGENMORDE/Aufbau psychiatrischrn PARALLELEJUSTIZ! Sehr geehrte* *** K***s! Ich hatte ihnen schriftlich gegeben, und zwar am 07. Juni 2023 per Einschreiben RT 6214 0522 8DE vorab per Fax 13:23 Uhr an +49/(0)611/32761-9097 und dann noch-mals persölich am 07. Juli 2023 („Besuchsbericht“ Einschreiben RT 6174 1028 9DE und vorab per Fax 13:23 Uhr an +49/(0)611/32761-9097 um 12:36 Uhr am selben Tag) mitgteilt daß ich da ds letztemal daßsie was bschlagnhamt hatten die Festplatte des PCs meine Bruders Magnus Christian (*31. Juli 1985) Sektorenfehler aufwies diesmal vor dem Weitertrasnport die beschlagnahmten Geräte auf Transportschäden prüfen möchte. Ich erinnre auch daß beim Überfall auf den Julwier Zeus der vor ca. 30 jhren Kunde meines EDV-Unternehmens war bei einem Polizeisatz dort Hard-disks beshcädigt wurden (aber noch lesbar waren). Mögliherise wollten die Täter Spuren beim Warenwirtschaftsystem verwischen nch ienm Juwelenruab. Als ich am Samstag um ca. 16:00 Uhr aus demahsu gehen wollte, vollkomen groggy wiel ich da mehrere Nächte gabstelt ahtte ein 200 GB Backup in Übersee wiederherzustellen da man gerade nachdem es im Rechenzetrum dort einen größeren Brand gegeben hatte bei Umzusgarbeietnin eienneues Rechenzerum auch dortige Backups gelsöcht wurden, also als ich smat zum Supermekt wollte stolperte ich imflur üerdrei Pakate dr Staatsanwwaltschaft mit feregegebn Akten usw. aus debshclanhame vom April 2021. die standen da einfach rum. Ind packliste sthet da seiene eine Festplatte dabei gewsen, eien extrene 3,5 Zoll Toshiba Canvio, shcrzes Ghäse, ca. 15 x 15 x 7,5 cm groß war beschalgnahmt worden, war sie aber nicht,liegt das daran daß ich gebeten hatte kein geräte mit Platten zu versenden? Aus guten grüden spgele ich mein beismittel-Daten der vonmir geführten Verfahren aus dem Blog ncheem man hie riebch udndie polize mehrfch stürmte auf mietsevrere in mehrere Rechzenteren die rings um den Globus verteilt sind, bei unterschiedlichen vodnender unabhängigen Providern, inuetshcidlehcn Jursdiktione so daß auch nach EU Recht Bechlagnahmen schitenr,s hclißlich bin ich mal redkateur einer Zeitung gewesen in Terror- und Korritiosnrecherchen. Meine Daten nich nur bei dieben wecken Begehrlichkeiten. Sie enthaltn auch Infos zu whalfäschunegn der Bundesstagswahl, politische Morden Bie de runmenetg an Sbaotagkaten, gelegten fuernudn mit Drhtshcren druchtrennetn Strom- und Telfonleitungen glaube ich nicht mehr an Zufälle. Zumal ich zur zet dr widerverigung von Jusrten/(Mitarbeitern des Justizapparts (?)) Angebote er-halten habe man könne unanaghme daten auch noch ncträglich manipulieren, Post-bedienstete und Mitarebetr riavter Sicherheitsfirmen wie der wo mie stalker “MICHAEL BECK“ tätig ist mit dmeich zu tun habe boten etwa an Pakte verschwinden zu lassen, wohl umdie Versicherung des Juweliers zu betrügen. Und jetzt das. Ich hab ihnen mal auf Scans der Beschlagnahmequittungen markiert wo die platte auf-geführt ist. Hier eine Abbildungs dieses Modells aus dem Internet. Ich schlage vor sie schauen nochmal nach ob sie die wirklich eingepckt hatten. Die Platte selbst ist nicht so wichtg, die BAckup-Daten darauf, die sind mir wichtig. Es handlet sch um eien 3,5 Zoll Platte, das extrene Gehäuse erinenrt vonden Ab-messungen aber eher an eins für 5,25 Zoll Laufwerke. Das ich seit meienfirm avon Kirminellen rzuidert wurd enur nochs ehr wneig Geld habe da ich vo HartzIV/Alg2 lebe muß ich beim Hardwarekauf imemr das allerbilligste nehmen, gebucht PCs vo ebay amtresein sich shcon nchw enigen tagen imverglich zum Itreetcfe bei der Unmenge an Schriffverkehr mit Behörden/Justiz den ich führe. Das führt dazu daß wenn wie erdewider ein altr dcuker sein Geist aufgibt nach jahreager Nutzung mit zigtausenden gedruckten Seiten ich aben im Intrnet nch baugelcieh gerä#ten mit Ersatzteilen schaue (ich kommja us drbrchne, kann maien kram slesbt reaprieren). Und abi bin ich auf ein gaze hcrge von alten Gerätengsteoßendiewohl beide justz-verwaltung oder polizei selbst ihren Dienst vesrehen hatten. Ich erinnre noch da es mal modfizerte firmware für Drcuker/Scnner gab für eien Fax-Lösung die ein Unternehmen für das ich als Subunternehemr trätig war selsbt programmerit hatte. Da geht es uch umdie bshcffunf von „onlinewache.polizei.hessen.de“ Website. Di egräte erkennt man daran daßsiebesi betimten merkmalen, etwa wenn manLogos der Staatsanwaltschfat auf einem Brief hat den man einscannt, dasß die dcuertreiebr daraf spezil regaieren. Udngaudiese chre geräte beiet jemand duf ebay ana Noc so einZufll. Das führt dazu daß dank mipuerter firmware möglichersie dtanlcks entsthen,ich hatte vor üerb 20 jhrne vor sowas gewarnt. Ich sg das nur wiel etwa mein Drucker/Scanner/Kopierer/Fax aus demItrenet unmittlbar nch befülling mit neunr Durckpatronen (krszshcluß an denkotakten) kautt ging gedre, auch hierliget möglciherise Sabotage bei der Firmware vor (da hilft auch kein eprom “flashen“, nur ein neuer Chip im Sockel wiederbootloade rmniulet sienkönnt). Jdes mal wenn die Justiz etwas beschlagnahmt muß ich mich kplett mit neur gebruchter hardwar eindecken da ich als mitorgnstor der Dtschutzdemos „freieht Statt Ansgt“ mit meheren tausendteilnehemrn und PARATEPARTEI naher „Datschutzaktivist“/Poltiker die gefhtr ls hoch ansher daß wenn ich mir vonder polize zurückgegeben Geräte wide rinbetreb nehem darauf ein „BUNDESTROJANER“ installiert wurde. Sievruchen mr unsimmen an kosten,ichhab kaum ncoh wa szu essen besonders aihc ihretwegen. Als cih mi tmeien Refill/Rectling Drucktaroen Herstlelr sprch ebstätgte die Expertin meine Befrüchtugen. Es gebe maniplierte geräte, gerde hätet ein großer herstelelr vondem uchmei gerät ist einsowtareupdate harausgegeben um Sciher-heistlücken zu patchen. DA sging es um manipulierte geräte wie bi der Firmware bei Mutfuktiondrucker bei gericht damals. Sien i eaf der Hut, vor allem im Zeitalter Netzwrkfähiger Geräte mit Internet-Funktionlitäten, Blutooth/Wi-Fi Scn to mail und so. Ich hoffe mein Intrenet Online PDF-Druch Fax erreicht Sie. | |
|
06.08.2023 19:30 |
|
|
|
|
![]() | |
| [0] |
20230806-1930-0-1.jpg |
| -------- Message --------
Subject: maxb***g hat eine Nachricht gesendet zu 1x Druckerpatrone XXL für HP 338 Photosmart C3180 2608 2610 XI 2615 2700 #304***027 Date: Sun, 6 Aug 2023 10:27:10 -0700 From: *** maxb***g <****> To: maximilian.baehring@googlemail.com Neue Nachricht: Hallo Ich nutze einen netzwerkfäh... ... Hallo Ich nutze einen netzwerkfähigen hp Photosmart 2610 Drucker. Seit ca.10 Jahren mit Pattonen von gorilla Ink, nachdem der Erste kaputtging August 2015 habe ich wieder das Selbe Modell gebraucht gekauft. Ich bewahre alten Patronen fürs Recycling immer auf. ImNotfall, wenn keienTinte merh da ist und die Nachbestellung noch mit der Post unterwegs behelfe ich mir teils durch Refill. Als am 03. August 2023 mittags DHL kam mit dmepakte hatte ich also noch ne alt Ptone vonihen drinne die tadellos gelaufen war. Mit ihr bootete der Drucker auch richtig hoch. Ich nahmals die nue patrone udnstzet sie wei gewohnt ein, das erschien im Display erst "rechte Patrone entf. u. überprüfen", später dann "schw. Fotopatrone einsetzen". Ih nham die patone wieder rasu und setzte sie ein paar mal erneut ein, reinigte die Kontakte. (Resettete den Drucker "#" udn "3" beim einschalten),alels ohen erfolg. Auch das Wiedereinsetzen der vorherigen und vor-vorherigen Patrone half nichts. Daraufhin hab eich bei ihen angerufen am 03. august 2023 13:54 Uhr und Sie habne mir ien wieter Patrone geschikt die am 04. August 2023 mittags ankam. Da sei ein Rücksendebeutel bei, für die defekte Patrone, hieß es, der fehlte aber. Auchd ie neu patone fuktioneirt nicht, shcbra hat das eistzen der patone vom 03.august den Rucker igrndwie lahgelegt (kurzschlußo druch fehelr in den kontakten der so?). Ich war ds gnaze wohenden damit bshcäftig eien workaround z abstelen damithc wider duckenudn scanne kann. Wie wollen wir jetzt weiter Verfahren? | |
|
07.08.2023 05:31 |
|
|
|
|
![]() | |
| [0] |
20230807-0531-0-1.jpg |
|
07.08.2023 10:00 |
|
|
|
|
![]() | |
| [0] |
20230807-1000-0-1.jpg |
![]() | |
| [1] |
20230807-1000-0-2.jpg |
![]() | |
| [2] |
20230807-1000-0-3.jpg |
![]() | |
| [3] |
20230807-1000-0-4.jpg |
![]() | |
| [4] |
20230807-1000-0-5.jpg |
| Nachdem ich seit
ca. 03:00 Uhr für wieder am coden war ist jetzt endlich der finale
Ersatz für die beim Servercrash in Übersse hastig zusammengebastelte
übergangsseite in betrieb für die ISO DVD Downlaods meiner Blog-Inhalte.
Derwil hat das Blog die 26.000er Marke erreicht was die Anzahl an DIN
A4 Seiten angeht die es umfassem würde wenn es jemadn ausdrucken sollte.
| |
|
07.08.2023 13:00 |
|
|
|
|
![]() | |
| [0] |
20230807-1300-0-1.jpg |
![]() | |
| [1] |
20230807-1300-0-2.jpg |
![]() | |
| [2] |
20230807-1300-0-3.jpg |
![]() | |
| [3] |
20230807-1300-0-4.jpg |
![]() | |
| [4] |
20230807-1300-0-5.jpg |
![]() | |
| [5] |
20230807-1300-0-6.jpg |
| Maximilian Baehring Hoelderlinstrasse 4 D-60316 Frankfurt/M
vorab per Fax: +49/(0)**4/9***9 *** Ink (*** ***Express ***) *** D - *** *** Frankfurt/M., 07. August 2023 ebay: 25-10354-38855 Retourenschein für Ihre Bestellung Order-ID 1579164 Kunden-ID 61876 Order-ID 1579164 Rechnung GIP-1722737 vom 02. August 2023 Kunden-ID 61876 Order-ID 1580346 Lieferschein GIL-10154 vom 03. August 2023 Meine Email/ebay Machricht von gestern abend Sehr geeherte Damen und Herren! Anbi wie angefordert die Patronen zurück, zudem (inder conrd Pastiktüte) noch die zwo Ältern (auch bei ihmen gekauften) mit denen ich vergeblich versucht hatte den duch Einsetzen der Patrone aus der esrten Liefer-ung vom 02., hier eingegangen am 03. August 2023 wieder zumlaufen zu bekommen. Mit denen beiden hatte er vorher tadellos funktioniert. Da ich zunächst einen anderen alten Drucker wieder in betrieb nehmen musste um wieder arbeiten zu könne (damit war ich das wochenende beschäftigt) hat sich das mit der Rüksendung/Antwort etwas verzögert. Kopie von Lieferscheien und Rechnung liegt bei. Ich erwarte dann ihre Rückerstatung! -------- Message -------- Subject: Digitaler Einlieferungsbeleg für Ihre DHL Retoure Date: Mon, 7 Aug 2023 02:46:10 -0700 From: *** To: maximilian.baehring@googlemail.com DHL Information Wichtige Informationen zu Ihrem Paket Onlineversion <****> DHL <***> Hallo, Sie haben Ihre Retoure erfolgreich an DHL übergeben. Sie befindet sich nun auf dem weiteren Versandweg. Beste Grüße DHL <***> Ihre Versandübersicht Sendungsnummer: 614604846251 <***> Abgabezeitpunkt: *07.08.2023 11:18 Uhr* Abgabestelle: *Postfiliale 503, Sonnemannstr. 67-69, 60314 Frankfurt am Main* Auftragnehmer (Frachtführer) ist die Deutsche Post AG. Es gelten für Päckchen die AGB der Deutsche Post Brief National bzw. International und für Pakete die AGB der DHL Paket/Express National bzw. Paket International in der zum Zeitpunkt der Einlieferung gültigen Fassung. Der Absender versichert, dass keine in den AGB ausgeschlossenen Güter in der von ihm eingelieferten Sendung enthalten sind. *Datenschutzhinweis*: Informationen zur Verarbeitung Ihrer E-Mail und allgemein zum Datenschutz finden Sie unter www.dhl.de/datenschutz <***> Folgen Sie uns <***> <***> <***> Linked In <***> YouTube <***> ... | |
|
07.08.2023 13:15 |
|
|
|
|
![]() | |
| [0] |
20230807-1315-0-1.jpg |
| Nun zum
gestrigen #Tatort Kirmi. Da ging es um einen Mann der von seiner Firma
zum Südnebock aufgebaut worden und in den Knast geschickt worden war
udnd er sihc nun rächenwollte. Dazu wollte er sich mit der Vize-chefin
treffen doch es kam zu eienr ausndersutug und sie starb durch
unglückliche Umstände. Um dev Verdcht von sich wgezulenekn sprenget
dieser mann das auto sienes Chefs in die Luft. Für mich sah das aus wie
Herrhausens Limousine und das Sprgestoff-Attentat darauf als Rache für
das Metllegsellschaft Öloptioen Debakel damals.
https://www.tvinfo.de/fernsehprogramm/1722964354-tatort | |
|
08.08.2023 06:13 |
|
|
|
|
![]() | |
| [0] |
20230808-0613-0-1.jpg |
|
08.08.2023 07:00 |
|
|
|
|
![]() | |
| [0] |
20230808-0700-0-1.jpg |
![]() | |
| [1] |
20230808-0700-0-2.jpg |
| Zum
Aktualitätsnachweis per TV Vorbandprogramm vom gestrigen 07. August 2023
ca. 18.00 Uhr: #Sismsons Bart spielte erfolgreich Basketaball und in
Teil zwo ging es darum daß Homer eien Handel mit Trophäen aufmachte. Es
gab auch eine Geschichte mit einer Uhr aus dem Krieg wie bei
#pulpFiction. vonn #berlinNeuKölln02407 lief die 3000ste(in Worten
dreitausendste) Folge. Weglaufkind Marie wurd egsucht und Bruno
versuchte den Tablet-PC Mit den akssendaten verschwinden zu lassen bevor
er flieht weil Joe das mit dem extrem vielen Geld was Jonas gestohlen
hat komsich vorkommt und er nchforshcungen anstellt satt zu seiner
Herz-OP zugehen. Marie wird ge- Fuden, Bruno fidnet Joe und der bricht
zusammen. Er hat zuvor Bruno Vorhlatug gechtes könne sich um Geld-wäsche
Geld handeln aber dr owilldas jalles gar nicht wird von dem mafiösen
Geldwäscher Kompagnon dazu gebracht udn Joe denket malwider gar nicht
daran daß das Mafia Geld nich nur bruno sond auch seinen Lebens- stil
finanziert, er also Profiteur der Geldwäsche ist. In der Hesshcau gabes
noch was üerb eeinwasserliche aus dem Teufelssee, der Angklagte hat dem
toten Mädchen an-geblich Chat Nachrichten geschickt in dnen er irh
drohte sieode rihre fmalie ode sich umzubrigen und kur nahc-dem sie tot
war hatte er schon das nächste Opfer. Das spricht aj nicht dfür daß die
Bindung zum Opfer eng war Wenn da s so austauschbar ist. Es haldet
ichwohl nicht um nen “wennich si nichtkirg sollsi keiner haben” Mord.
https://www.tvinfo.de/fernsehprogramm/1734968565-die-simpsons https://www.tvinfo.de/fernsehprogramm/1734968572-die-simpsons | |
|
08.08.2023 13:30 |
|
|
|
|
![]() | |
| [0] |
20230808-1330-0-1.jpg |
![]() | |
| [1] |
20230808-1330-0-2.jpg |
![]() | |
| [2] |
20230808-1330-0-3.jpg |
| #ALARM #SOS #MAYDAY Werde bei Rechtsmittel- Einreichung sabotiert !
Maximilian Baehring Hoelderlinstrasse 4 D-60316 Frankfurt/M per Fax: +49/(0)721/9101-382 Bundesverfassungsgericht Schlossbezirk 3 D - 76131 Karlsruhe Im Internet findet sich unter der URL http://banktunnel.eu/pdf.php und URL http://blog.sch-einesystem.de/ mein ausgedruckt ÜBER 26.000 DIN-A4 Seiten umfassendes Internet Tagebuch / Blog, als Offline Version downloadbar unter http://*** /***/ als ISO-Image (brennbar auf DVD) mit tagesaktuellen ZIP-Archiv Ergänzungen Frankfurt/M., 08. August 2023 AR 3582/23, AR 4116/23, 3132 E 495/23 Budesverfassungsgericht Ihr Schreiben vom 21. Juli 2023 im Umschlag frankiert am 25. Juli 2023 mir 26. Juli 2023 zugegangen im Umfang von 2 Blatt (je vorderseitig bedruckt) also 2 Seiten Frau Peters, Frau Krause Reul! In meinen Eingaben an das Bundesverfassungsgericht kritisiere ich daß man meinen Telefon-/Fax-/Internetverkehr auswertet, als Redakteur einer Zeitung betrieb ich Recherchen im ROTE ARMEE Fraktion Terror Sprengstsoffattentat auf die Limousine des Deutsche Bank-Vorstands Herrhausen sowie daß mien Briefe abgefangen werden! Das betrffit ach mehrfach schriftlich (per Einschreiben und Fax und persömlich bei Gericht geerichten Schreiben) angeforderte Prozesskostehilsantragsformulare. So kann ich keinen Prozesskostenhilfntrag stellen, Anwälte verweigern das weiß ich aus meinr Presse-Erfahrung solche selbst auszufüllen da sie mit Begründung bereits unebzahlt vorfromulieren müssen was Inhalt der Sache sein wird für die der Antrag gestellt wird. Daher muß ich das selbst machen. Gehe ich selbst zu Gericht werde ich dort regelmäßig „verarscht“, die Vermögsnsuaskunft-Formulare bekäme man nur auf schriftliche Anforderung hin und auch wenn diese nachweislich vorliegt und nicht inder von mir gesetzten Frist bis ich nochmals nachhake be- arbeitet wurde gibt man mir den Formularsatz nicht. Udn zwar nicht etwa weil ich vorhätte den Kaiser von China mit gefäschten beisen zauf eiensumer ute 10 Euro verklagen denatrag einzureichen obgleich ich Geld hätte (etwa um Verfahrn hin-auszuzögern so lang es dannd azert bsi derbagahlent wwürde), missbrüuchliches Einlegen solcher Anträge liegt definitiv nicht vor. Ich stelle ihnnur wiel ich für Rechtbehelfe/Rechtsmittel wie Berufunsgeverfahren vor höheren Gerichten des mindestens zwten Instanzenzugs Formerfodernis der Vertretung durch einen Anwalt zu erfüllen als kein andere Wahl habe. Es sieht aus als würde ich von früheren sadistischen Mitschülern die als Beamate/Jursten/bei Gericht arbeiten gequält. Also als wolle man mich ganz gezielt (aus politischen Gründen?) sabotieren wo-bei die ehemligen Mitschüler wie eine kriminenlle Vereinigung auftreten, ihre Amtsbefugnisse gan gezilt missbrauchen damit ich im Verfahrn wo es unter andrem auch um massive Korruption geht nicht zu meinem Recht komme. Zudem gibt es wohl auch noch eine irre Stalkerin die im Vefahren ggen meien Willen Eingaben macht wobei sie sich be Gericht als meine Frau ausgibt, ich war jedoch nie verheiratet (vom Hochzeit spielen in der kita im alter von 5/6 Jahren mal abgesehen). z.B.: Ich habe am 31. Juli 2023 Prozesskostenhilfsantrag eingereicht nachdem ich fast drei von vier Wochen Frits lang massiv gehindert wurde mir ein Anwalt zu suchen: - Begleitschreiben vom 30. Juli 2023 - Berufungsschrift (3 seitig) in 380 C 478/21 Amtsgericht Frankfurt a.M. Höchst - Prozesskostenhilfsantrag (Kopien des Original bei der Anwältin) samt Anlagen Obgelcih ich nur vier Wochen Zeit für Friswahrung bei Berufungseinreihung hatte. Mein Blog http://blog.sch-einesystem.de/ zeit am 26. und 27 April und 13. Juli und 13. April 2023 dokumentierte Postmanipuationen (richertlicher Beschluss mit telekommukaionsauswertung siehe http://decl-war.blogna.me/post/147002367028/ ) Die undrechtseingriffe kollidern mit Recht auf wirksame Bschwerde/auf einfaiers Verfahren. Daher werdne sie meine zwo sich aufeinderbeziehenden diesbezüglichen Schreiben was ihre Anfrage angeht den Richtern zum Entscheiden vorlegen müssen! | |
|
08.08.2023 14:00 |
|
|
|
|
![]() | |
| [0] |
20230808-1400-0-1.jpg |
![]() | |
| [1] |
20230808-1400-0-2.jpg |
![]() | |
| [2] |
20230808-1400-0-3.jpg |
| #ALARM #SOS #MAYDAY Werde bei Rechtsmittel- Einreichung sabotiert ! (Postunterschlagung / Papierformat Fax-Scan)
Im Internet findet sich unter der URL http://banktunnel.eu/pdf.php und URL http://blog.sch-einesystem.de/ mein ausgedruckt ÜBER 26.000 DIN-A4 Seiten umfassendes Internet Tagebuch / Blog, als Offline Version downloadbar unter http://*** /***/ als ISO-Image (brennbar auf DVD) mit tagesaktuellen ZIP-Archiv Ergänzungen Maximilian Baehring Hoelderlinstrasse 4 D-60316 Frankfurt/M per Fax: +49/(0)721/926-6556 (oder -5005) Dienstvorgesetzter des StA Dr. Hunkel Staatsanwaltschaft Karlsruhe Akademiestraße 6-8 D - 76133 Karlsruhe Frankfurt/M., 08. August 2023 120 Js 29887/23 StA Karlsruhe Unterschlagung Dr. Stoll, Basse Ihr Schreiben vom 17. Juli 2023 im Umschlag frankiert am 19. Juli 2023 mir 20. Juli 2023 zugegangen im Umfang von 1 Blatt (nur vorderseitig bedruckt) also 1 Seite Herr/Frau Dienstvorgesetzter des StA Dr. Hunkel! In meinen Schriben an Krlsurhe Bundesgerichte kritisiere ich daß man meinen Telefon-/Fax-/Internetverkehr auswertet, als Redakteur einer Zeitung betrieb ich Recherchen im ROTE ARMEE Fraktion Terror Sprengstsoffattentat auf die Limousine des Deutsche Bank-Vorstands Herrhausen sowie daß mien Briefe abgefangen werden! Das betrffit ach mehrfach schriftlich (per Einschreiben und Fax und persömlich bei Gericht geerichten Schreiben) angeforderte Prozesskostehilsantragsformulare. Solch Eingabe ist bei ihne schon im Dezmber 2022 verloren geganagen, Eischreiben Post die daher an die Polizei Karlsruhe gschikt wird kommt unzustellbar zurück. So kann ich keinen Prozesskostenhilfnsantrag stellen, Anwälte verweigern das weiß ich aus meinr Presse-Erfahrung solche selbst auszufüllen da sie mit Begründung bereits unebzahlt vorfromulieren müssen was Inhalt der Sache sein wird für die der Antrag gestellt wird. Daher muß ich das selbst machen. Gehe ich selbst zu Gericht werde ich dort regelmäßig „verarscht“, die Vermögsnsuaskunft-Formulare bekäme man nur auf schriftliche Anforderung hin und auch wenn diese nachweislich vorliegt und nicht inder von mir gesetzten Frist bis ich nochmals nachhake be- arbeitet wurde gibt man mir den Formularsatz nicht. Es schein als würde ich von früheren sadistischen Mitschülern die als Beamate/Jursten/bei Gericht arbeiten gequält.Als wolle man mich ganz gezielt (aus politischen Gründen?) sabotieren wo-bei die ehemligen Mitschüler wie eine kriminenlle Vereinigung auftreten, ihre Amtsbefugnisse gezielt missbrauchen damit ich im Verfahrn wo es unter andrem auch um massive Korruption geht nicht zu meinem Recht komme. Ich habe am 31. Juli 2023 Prozesskostenhilfsantrag eingereicht nachdem ich fast drei von vier Wochen Frits lang massiv gehindert wurde mir ein Anwalt zu suchen: - Begleitschreiben vom 30. Juli 2023 - Berufungsschrift (3 seitig) in 380 C 478/21 Amtsgericht Frankfurt a.M. Höchst - Prozesskostenhilfsantrag (Kopien des Original bei der Anwältin) samt Anlagen Obgelcih ich nur vier Wochen Zeit für Friswahrung bei Berufungseinreihung hatte. Mein Blog http://blog.sch-einesystem.de/ zeit am 26. und 27 April und 13. Juli und 13. April 2023 dokumentierte Postmanipuationen (richertlicher Beschluss mit telekommukaionsauswertung siehe http://decl-war.blogna.me/post/147002367028/ ) Wegen der in ihre örtliche Zustädnigkeit fallenden Vorfälle aus Dezember 2023 hab ich mich ncdem die polie uerrichbar war an die Staatsanwaltschaft gewendet. Dort bearbeite man meine dateileriten Eingaben nicht und das führt zu Anzeigen gegen Beamte. Die Verfahren stellen sie dann mit Serienbriefen ein. Dagegen lege ich hiermit mal wieder Rechtsmittel ein, damit endlich ermittelt wird. Ich hab nämlich einen scihimer mehr erhärtenden verdacht daß das banden und gewerbs-mäßg kriminell organisiert ist, es geht um Softwarepaketbeschaffung (Fax-Server, Intrenet Onlinewache) im Polizei/Justizwesen an der ich, Subuntrenehmr eines Bad Homburger EDV-Unternehmens um 1990, am Rande beteiligt war. (EDV-) Sabotageakte sollten Immobilien enteignen, Straftäter freikommen (Strafvereitelung im Amt). | |
|
08.08.2023 14:30 |
|
|
|
|
![]() | |
| [0] |
20230808-1430-0-1.jpg |
![]() | |
| [1] |
20230808-1430-0-2.jpg |
![]() | |
| [2] |
20230808-1430-0-3.jpg |
![]() | |
| [3] |
20230808-1430-0-4.jpg |
| #ALARM #SOS #MAYDAY Werde bei Rechtsmittel- Einreichung sabotiert ! (Postunterschlagung / Papierformat Fax-Scan)
Im Internet findet sich unter der URL http://banktunnel.eu/pdf.php und URL http://blog.sch-einesystem.de/ mein ausgedruckt ÜBER 26.000 DIN-A4 Seiten umfassendes Internet Tagebuch / Blog, als Offline Version downloadbar unter http://*** /***/ als ISO-Image (brennbar auf DVD) mit tagesaktuellen ZIP-Archiv Ergänzungen Maximilian Baehring Hoelderlinstrasse 4 D-60316 Frankfurt/M per Fax: +49/(0)30/9015-2727 Generalstaatsanwaltschaft Berlin z. Hd. Dienstvorgestzter von Staatsanwältin/Glin Fettweis Elsholzstraße 91 D-10781 Berlin Frankfurt/M., 08. August 2023 161 Zs 676/23 Generalstaatsanwaltscaft Berlin Ihr Schreiben vom 31. Juli 2023 im Umschlag frankiert 03. August 2023 am 04. August 2023 zugegangen Umfang 1 Blatt (nur vorderseitig bedruckt) 1 Seite / Poliks-Nr. 230515-1103-359661 Herr/Frau Dienstvorgesetzter der StA/Glin Fettweis! In meinen Schriben an Ermittlugsbehöden/Gerichte kritisiere ich daß man meinen Telefon-/Fax-/Internetverkehr auswertet, als Redakteur einer Zeitung betrieb ich Recherchen im ROTE ARMEE Fraktion Terror Sprengstsoffattentat auf die Limousine des Deutsche Bank-Vorstands Herrhausen sowie daß mien Briefe abgefangen werden! Das betrffit ach mehrfach schriftlich (per Einschreiben und Fax und persönlich bei Gericht eingereichtem Brief) angeforderte Prozesskostehilsantragsformulare. Ich vermute Zusmmenhang mit unangenehmem Vorfall bei Staatsbesuch des Bundes-präsidenten in Thailand Anfang/Mitte der 1980er den man nicht in der Zeitung haben will weshalb man seit damals meine Post/Telekommunkation sabotiert. So kann ich keinen Prozesskostenhilfnsantrag stellen, Anwälte verweigern das weiß ich aus Presse-Erfahrung solche selbst auszufüllen da sie mit Begründung bereits unebzahlt vorfromulieren müssen was Inhalt der Sache sein wird für die Antrag gestellt wird. Daher muß ich es selbst machen. Gehe ich selbst zu Gericht werde ich dort regelmäßig „verarscht“, die Vermögensaus-kunft-Formulare bekäme man nur auf schriftliche Anforderung hin selbst auch wenn diese nachweislich vor-liegt und nicht inder von mir gesetzten Frist bis ich nochmals nachhake be-arbeitet wurde gibt man mir den Formularsatz nicht. Es schein als würde ich von früheren sadistischen Mitschülern die als Beamte/ Jursten/bei Gericht arbeiten gequält.Als wolle man mich ganz gezielt (aus politischen Gründen?) sabotieren w-bei die ehemligen Mitschüler wie eine kriminenlle Vereinigung auftreten, ihre Amtsbefugnisse gezielt missbrauchen damit ich im Verfahrn wo es unter anderem auch um massive Korruption geht nicht zu meinem Recht komme. Ich habe am 31. Juli 2023 Prozesskostenhilfsantrag eingereicht nachdem ich fast drei von vier Wochen Frits lang massiv gehindert wurde mir ein Anwalt zu suchen: - Begleitschreiben vom 30. Juli 2023 - Berufungsschrift (3 seitig) in 380 C 478/21 Amtsgericht Frankfurt a.M. Höchst - Prozesskostenhilfsantrag (Kopien des Original bei der Anwältin) samt Anlagen Obgelcih ich nur vier Wochen Zeit für Friswahrung bei Berufungseinreihung hatte. Mein Blog http://blog.sch-einesystem.de/ zeit am 26. und 27 April und 13. Juli und 13. April 2023 dokumentierte Postmanipuationen (richertlicher Beschluss mit telekommukaionsauswertung siehe http://decl-war.blogna.me/post/147002367028/ ) Da möglicherweise Bundespräsidialmat in Postverlust Sabotage involviert sein könnte was in ihre örtliche Zustädnigkeit fällt hab ichmich an sie gewendet, und dem Bundespräsidialamat meinen Anfangsverdacht mitgeteilt. Auf die Sabotagevor- würfe hin riet man mir von dort und zwar schriftlich mit Schreiben, hier einge-gangen am 15. Juli 2023 abgesndet laut Frankierung am 14. Juli 2023, datiert auf den 12.Juli 2023 Geschäftszeichen Z5 300 11 – 00009 – 0013-0092 explizit mich an die Polizei zu wenden. Das hab ich ja getan aber sie bleiben ja untätog und das führt zu Dienstaufsichts- und Disziplinarsachen und Strafvereitlung im Amt und Beihilfe/begümstigungs Anzeigen auf die hin user Vorgang läuft. Wollen sie es sich ob meiner Rückedckung nocht nohcmal überlegen ob sie alles richtig machen? | |
|
08.08.2023 15:30 |
|
|
|
|
![]() | |
| [0] |
20230808-1530-0-1.jpg |
![]() | |
| [1] |
20230808-1530-0-2.jpg |
| Seit heut mittag ist die neue Übersee VPS wo die Daten verloren gingen auch endlich wieder per Ipv6 erreichbar.
=== Delayed support response times The emergency data center migrations that are currently underway are resulting in more tickets than usual. We are working to reply to all tickets as quickly as we possibly can, and apologize for the delay. View Ticket #7***3 Subject: Emergency *** IP Swap: need to update Root DNS Clue Records entry with new IP Posted by *** on Tuesday, August 8th, 2023 (10:46) Operator Hello Maximilian, I have now assigned ***:***:***:***:***:***:***:*** to your VPS. Kind Regards, *** Posted by Maximilian Baehring on Tuesday, August 8th, 2023 (06:27) Owner ***! When will IPv6 Support be available? | |
|
09.08.2023 05:54 |
|
|
|
|
![]() | |
| [0] |
20230809-0554-0-1.jpg |
|
09.08.2023 08:45 |
|
|
|
|
![]() | |
| [0] |
20230809-0845-0-1.jpg |
![]() | |
| [1] |
20230809-0845-0-2.jpg |
![]() | |
| [2] |
20230809-0845-0-3.jpg |
| Maximilian Baehring Hoelderlinstrasse 4 D-60316 Frankfurt/M
vorab per Fax: +49/(0)6101/98911-500 *** Inkasso *** D-*** 2. Mahnung/Ihr Schreiben vom 10. und ,eine Schreiben vom 12. und 06. Juli 2023 Geschäftszeichen 3303175 betrefend WESENTLICH ZU SPÄT erhobene Forderung *** Ihr Schreiben vom 10. Juli 2023 wegen Überzahlung in Höhe von 10,00 Euro! Sehr geehrte Damen und Herren! Ich bekomme noch 10 Euro von Ihnen die zuviel bezahlt wurden wiel sich wegen Problemen bei den EDV Umstellungsarbeiten der Postbank die mit der Deutschen Bank fusioniert ist der Dauerauftrag an Sie nicht rechtzeitig löschen ließ. Am 01. Juni 2023 haben Sie daher irrtümlich 5 Euro per Dauerauftrag bekommen umd dann nochmal am 03. Juli 2023, insgesamt 10 Euro. Darauf habe ich sie nun schon mehrfach schriftlich hingewiesen! Überwiesen sie meine 10,00 Euro schleunigst Kontoinhaber: Maximilian Bähring IBAN: *** BIC (SWIFT): *** | |
|
09.08.2023 12:30 |
|
|
|
|
![]() | |
| [0] |
20230809-1230-0-1.jpg |
![]() | |
| [1] |
20230809-1230-0-2.jpg |
![]() | |
| [2] |
20230809-1230-0-3.jpg |
![]() | |
| [3] |
20230809-1230-0-4.jpg |
![]() | |
| [4] |
20230809-1230-0-5.jpg |
![]() | |
| [5] |
20230809-1230-0-6.jpg |
![]() | |
| [6] |
20230809-1230-0-7.jpg |
| #ALARM #SOS #MAYDAY Ich wurde bei Einreichung von Berufung “sabotiert“! Täter: mir bekannte korrupte Beamte
Im Internet findet sich unter der URL http://banktunnel.eu/pdf.php und URL http://blog.sch-einesystem.de/ mein ausgedruckt ÜBER 26.000 DIN-A4 Seiten umfassendes Internet Tagebuch / Blog, als Offline Version downloadbar unter http://*** /***/ als ISO-Image (brennbar auf DVD) mit tagesaktuellen ZIP-Archiv Ergänzungen Maximilian Baehring Hoelderlinstrasse 4 D-60316 Frankfurt/M vorab per Fax: +49/(0)611/32761-8342 (-8326, -8117, wird zudem persönlich vorbegebracht) Landgericht Frankfurt a. M. z.Hd. *** Richter*** *** *** Gerichtstraße 2 / D-60313 Frankfurt a.M. via gemeinsame Poststelle der Justizbehörden Gerichtsstraße 2 D - 60313 Frankfurt a.M. Frankfurt/M., 09. August 2023 2-16 S 54/23 Landgericht Frankfurt am Main Schreiben *** *** datiert auf den 27. Juli 2023 in Couvert frankiert am 31. Juli 2023 mir 03. August 2023 zugegangen im Umfang von 2 Blatt (je vorderseitig bedruckt), also 2 Seiten, dazu mein Einschreiben RT 6174 1525 4DE vom 03. August 2023 (vorab ebenfalls am 03. August 2023 um 16:50 Uhr per Telefax an die +49/(0)611/32761-8342) (vorläufige Berufungsschrift (auch Begründung zum) Prozesskostehilfeantrag vom 30./31. (und 17./19. ) Juli gegen Urteil vom 27./28. zugestellt 01. Juli 2023 in 380 C 478/21 (14) Amtsgericht Frankfurt a.M. Höchst (Postunterschlagung / Vor-schußvetrug Anwaltsrechnung Akteneneinsicht polizeiliches Ermittlunsgeverfahren) siehe auch 6151 Js 217162/21 – 931 Gs Amtsgericht Frankfurt/M und ST/0082472/2021, ST/0397167/2021, … sowie vor allem eben auch SPH/0584256/2020 Polizei Frankfurt a.M. 3320 AR 301535/20 Staatsanwaltschaft/332 Js 63920/20 Amtsanwltschaft Frankfurt/M Sehr geehrte* *** *** ***! Sofort als ich 01. Juli 2023 nachmittags trotz noch zweier laufender Befangen-heistanträge(/Rechtsmittelvefahren dazu) wohl im Zustand der Beschlußunfähigkeit gefasstes Fehlurteil erhielt habe ich noch am selben Abend Fax ans Amtsgericht Höchst gesendet und am nächsten Morgen an Sie, das Landgericht, beides sciher-heisthalber auch als Einschreiben-Brief, daß ich Berufung einlegen werde. Mit diesem Schreiben haben ich um Zusendung der Vermögensauskunftsformulare für die Prozssekostenhilfe ersucht, betene diese bis zum 10. Juli 2023 zuzusenden da die Sache eile. Am 07. Juli 2023 hakte ich persönlich vor Ort im Gericht nach und am 11. und 17. Juli 2023 nochmals schriftlich. Erst als ich am 19. Juli nochmal vorbeiging bekam ich nach Bschwerden die Formulare, füllte sie noch in der Nacht aus, sendte 19/.20. Juli 2023 eine Vorab-Version (Fax/Einschreiben) ans Gericht. Verbrachte den Morgen des 20. Juli 2023 bei der Anwaltsberatung in Zimmer 108, als ich mir dort verarscht vorkam sichte ich „draussen“ nach Anwälten, wurde am nachmittag bei Anwältin A***n-B**r fündig, verabredte mich mit ihr für den 24. Juli 2023, meldete noch am 20. Juli 223 abends das Mandat dem Gericht und sendete Bestägigngfax/einschreiben der Mandatsübernahme an die Rechtsanwältin. Am 24. Juli 2023 morgnes üerbgab ich ihr die Unterlagen, unterschrieb Vollmacht. Wie immer bestätogte ich auch das schriftlich. Da bekam ich mal wieder einen dieser ganz komischen Post Rückläufer, einer der Briefe sei nicht angkommen. Doch als ich beim Epfänger nachhakte bestätigte man mir dort es müsse sich bei dem was ich als Irrläufer erhalten habe um einen Postirrtum handlen es sei alles angkomemn, das liß ich mir schritflich geben. Beunruhigt machte ich eien Akten-notiz fürs gericht die ich am Morgen des 28. Juli 2023 persönlich zu Gericht brachte nachdem ich sie auch nochmal gefaxt hatte, seit dem 26. Juli 2023 habe ich Probleme mit meinem Drucker, ich mußte für Ausducke/FAxe ins Internetcafe. Wegen der Hektik bei Mandatsübernahme hatte ich die Kontaktdaten meiner Anältin, Handy und Faxnummer im Internet herausgesucht, hatte sie samt Kanzlei-Anschrift auf der Website „http://www.ra-f***r.de“ gefunden, nich geshen daß es noch eine zwote und dritte Website von ihr gibt. Hierbei bekm ich statt ihrer Handynummer die des kolegn an die ich das ganez uch nohmal per SMS-Kurzchhricht sendete. Als sie sich Samstag imemr noch nicht rückgemeldet hatte rief ich diese Nummer an. Erst alsh am Samstag mittag, den 29. Juli 2023 endlcih der Kollege von ihr an den Appart ging erklärte er mir schroff ich hätte die falsche Handynummer, er drohte der von ihm emfudnen Ruhestörung wegen mandatniederlegung an. Da sah ich mir die andernwebsiets nochmal an (das standen nur Festnetz-Anshclüsse als Nummern) und sendete alles Korrepodnenz de ich auch schon in Kopie zu Fax und Briefe als E-Mail an „@ra-filler.de“ gesnedet hatte nochmals an die andere Adresse aufder anderen Website, versuchte die Anwältin per Telfon zu erreichen. Asl ich daraufhin nochmal genauer meinen Spamfilter in dem sich etliches tausnde an Nachrichten finden duchsucht sah ich da war es 29. Juli 2023, ca. 22:30 Uhr daß am 28. Juli 2023 als ich bei Gericht und im Internetcafe war die Anwältin berist ein email an mich gsendte hatte. Darin legt sie Mandat nieder. Das erfuhr ich Samstag die Nacht vom 29. auf den 30. Juli 2023. Zwo Werk-Tage vor Ablauf der Rechtsmittelfrist. Die ganzen kopierten Unterlagen für den Prozesskosten-hilfsantrag lagen noch bei ihr im Büro und mein Drucker ging wie sgaget nicht, ich hätte im Internetcafe für teurs Geld fotkopienmche müssne wofür amMoatsnde das Geld bei mir als HartzIV/Alg2 bzeiehr wegnder hohen Inflations/Lebenshalt-ungsksoten nicht reicht. Eilig hab ich daher einer Intrenet Anlitung folgend: https://www.haufe.de/recht/weitere-rechtsgebiete/prozessrecht/pkh-antrag-kann-ohne-anwalt-eingelegte-berufung-retten_206_422704.html (VI ZB 36/16 BGH, 14. März 2017) Selbst nochmal meine Berufungsschrift-Entwürfe überarbeitet. Und si dann am Sonntag 30. Juli 2023 und Montag 31. Juli 2023 von meinen letzten 3 Euro an Geld ausgedruckt, vorab per PDF-Fax gschickt und am 31. Juli 2023 eingereicht, zusmme nmit meien eignen, eizgen und letzten Satz an Kopien für die Anlagen des Prozsskostemhilfsantrags. Als amn mir Entgegennahame nicht korrekt bestätigen wollte dann später, am nachmittag ging mein HartzIV/Alg2 Geld ein, nochmals in Kopie. Erst als ich sicher war daß üerball Eingngsstempeldes geichts drauf war ging ich nachdem ich erfolglos versucht ahtte inFrankfurt Druckertitepatronen zu bekommen fing an Ersatt für die abgsprungen Anwältin zu suchen, bei der Kürze der verbleibenden Frits ein aussichtloses Unterfangen, nachdme ich am 20. Juli 2023 die Klingerstraß und Zeil und das Ostend in Umgebung meiner Wohnung durch-kämmt hatte versuchte ich es dismal, aus dem Saturn kommend wegen der Drucker-tinte inder gend der Hautpwache/Börse ich weiß daß die Schillerstraße voller Büros von Anwälten ist. Bei mehre Kanzleien fraget ich mich erfolglsoe durch, zeuite denen „meinen Fall“. Auf demrückwag an der Stephanstarße traf ich dann noch einen sehr netten Anwalt der mir sagte so kurfttg dürfe die Anältin Frau Ahborn-baer mich gar nicht im Stich lassen, als ich wider auf die Straße tart fragte ich noch die bestzung eines Polizeiautos daß an einr Kreuzung parkte, sie hättendoch oft mit imHau ruck verfhren Anwälten zu tun, ob sie denn ad hoc einen wüssten der das machen kann, kam dann noch in einer Kanzlei in der Konrad Adenaur Straße vorbei woe einwieter sher netter Fachwanlt für Medienrecht mir das slbst sgte wie sie Kollege zuvor, solche Mandatsniderlgungsie unmöglich ohne sich für evteulle shcäden haftbar zu machen, man hate mir egstenichsole nochmal mit der Frau reden. Am nächsten Morgen rief ichdort nochmalan und sie blieb bei ihrer Mandatsniederlegung, sie she ja daß ich ihr nicht (mehr) Vertraue und das sei so keine Basis, auf ahsftusgfragen gserpcoeh sagte sie da hätten ihre zwo Kollegen aus dneandernkazlien wolh recht sie riskiere eben einen Haftungsfall. Dan gnazen fpenden Tag, den 01. August 2023 habe ich dann nochmal versucht eien Anwalt zu finden der die berufung auf die schnelle macht, vergeblich,sattdenn ducgfte ich mich wieder mitmienm Stalker urmägern deme ich nchdem er mit vor-läufiger Vollstreckung (das ist doch weder rechtkräftig noch eine einstwwilige Anordnug/Verfügung) geemailt hatte daß ich am 30./31. Juli 2023 Berufung ein-gelegt habe was ihn ja angeht. Erhiltmichdannden rst des abends mit der für hr üblichen Beleidigungen auf Trab. Den vormittag des 01. August 2023 hatte ich damit verbracht dem Präsidenten des Landgerichts aufs dortgen wunsch hin ein Protokoll und weieter Dienstaufsichtsbeschwerde wegd er vafhrnsverzöegung die ich im verschulden der Justz liegen zukommen zu lassen, ich hab das persönlich abgegeebn was ich vorband, in der nacht un am morgen dazu getippt hatte. Ich will nun wiel es ja sowieso keinerleie Unterschied für die Formwahrung der berufugseirichung mher macht abwarten was das gericht mir der vollkommen unver-schuldet dier Porbleme gecht bekommt rät wie ich Anwaltswechsel vollziehen soll als folge von Mandatsniederlegung. Anbei füge ich noch einmontiert auf dieser Seite Screenshots von Email und Spamfilters ein wo Anwältin Mandat niederlegt was ich wie egsat Samstag Nacht 29. Juli 2023 um 22:30 Uhr sah (ich hatte noch mit Wiederherstellung des sabotiereten/“abgeschossenen“ Backup-Systems zu tun auf dem Online Beweismittel für unser Verfahren lagern, ebsn wiel auf dem Post-weg zuviel weggekommen ist als zusätzlich Sicherheitsmaßnahme scnn ich alles relevanet ein und stelle isn Netz, wobei es zuerähen gilt daß mein Stalker, der Verfahrensgegner, wie ich (ein in meinem Fall ehemaliegr) Politiker, imweb dazu aufruft Hckecttacken auf poltsch Gegner druchzuführen worni möglciherweise die ursache für den parallel zum Verrfahrnsverzöherungs-Ärger mit dem gericht auf-tretenden Systemausfall liegen könnte). Im Verfahren geht es darum daß diesr Mann mich telefonisch, per SMS und Email bedoht, dabei behauptet er, er habe meine EDV und Telefonie gehackt und als ich in deshalb strafanzeigte ein Anwlat zur vorprozessualen Akteneinsicht in das Ermittlungsverfahren nahm den, das war Inhalt seiner Klage, ich ihm nun auch zu allem überluss noch zahlen soll. So viel zum Varfhnsgegenstand. Die Frage kteull ist aber: wird das Gericht anwältin ***na***r rügen weitzuchen oder muß ich nun slebst einen Ersatz besorgen? | |
|
09.08.2023 14:30 |
|
|
|
|
![]() | |
| [0] |
20230809-1430-0-1.jpg |
![]() | |
| [1] |
20230809-1430-0-2.jpg |
![]() | |
| [2] |
20230809-1430-0-3.jpg |
![]() | |
| [3] |
20230809-1430-0-4.jpg |
| Nun zum 18:00
Uhr TV Voranendprogramm von Gestern dem 08. August 2023: Homer wurde
Lehrer an der Burns University in Teil iens udn inteil zwo spilte man
Pokemon Go und Bart wurde zum Gigolo der sich von reichne alten Deamen
aushalten ließ“ die “sich wegmachen wollten”. Das erinnert mich an den
Song von David Le Roth den ich mal als piepsenden Klingelton hatte auf
einem meienr frhüeren Handys Anfang der 2000er. Die ahtta ich sogar
WAP/WML App geschrieben welche die reliaplatine im Servereraum so
telejet-webrestter artig ansteuerte um jene Server die sich (a propos)
aufgehängt hatten neu zu booten. Danch kam dann #erbliNueKölln2047, Joe
über-lebt dank Brunso erster Hilfe seiene Herzanfall, kommt ins
Krneknahus Bruno zeigt sich slebst an wegen Mafia Zahlungen in seinen
Büchern udn kommtin U-Haft wobei SienSohn Joans, slebst Ex - Knasti,
mal wiedree den Vogel abchießt an Empathie für seinen “Erzeuger”. Und
Paula beschließt in die Nähe von Maries Internat zu ziehen.
“Summervilles” “Smalltown Boy” artige Weglaufkinder sind ja auch ein
großes Thema wobei ich eher an sein “dare o love” denken musste als
bruno gestren in der Zelle landete, der eine aus der Domstadt Saopa hat
ja auch mit ne s*xuelle Belästigungsanklage zu kämpfen. Stimmt es
eiegentlich daß als wir damals diese Besucher hatten die nen Beitrag
machen soltlen für dei schüler-zeitung die egstellt Aufgabe war den
mauerfall aus der intrveiw perspektive eiens obdachlosen zu shcldern?
Wurd geluchgb ich auch vrtont. Das war etwa zu der Zeit als für war da #realityBites Sopa stercnhen aus Ozenaien gecastet wurden oder so. WAS BEDEUTET DENN DER MAUERFALL FÜR OBDACHLOSE,ALSO DIEJENIGEN DIE IHR OBDACH VER-LOREN HATTEN durch VERTREIBUNG 1945? Ich wieß noch daß irgendwer in einem Engslichtest es für merkwürdig hielt daß “REALestate” Liegenschaft heißt wohn-tRäume die wie die virtuellen in Autodesk CAD Software Relität werden nach der Achrtektur-Planung. Das war zu der #forrestGump #wagTheDog zeit als es um computergenerierter Relitäten (3D-Studio Max) ging. “Inflation” in der städteplansimuation Simcity für den Komunalpoltiker Nachwuchs: [SHIFT] + [F][U][N][D][S] https://www.tvinfo.de/fernsehprogramm/1734969046-die-simpsons https://www.tvinfo.de/fernsehprogramm/1734969057-die-simpsons somerville - #berliNeuKolln20407 Thema Weglaufkinder and Triebtater und #realityBites "being a total prick" Kinderliebes Frühstücksfernsehen imbruglia - lost in translation - Auftrag für Artikel Heimatvertriebene Was bedeutet der Mauerfall für jene Menschen die 1945 Obdachlos wurden | |
|
10.08.2023 06:05 |
|
|
|
|
![]() | |
| [0] |
20230810-0605-0-1.jpg |
|
10.08.2023 09:00 |
|
|
|
|
![]() | |
| [0] |
20230810-0900-0-1.jpg |
| Nun um 18:00 Uhr
TV Vorbandporgramm vom gestrigen 09. august 2023: Bei den #Simpsons
versuchte Mr. Burns Freund Nigel im Rahmen einer Wette Homer und Marge
auseinanderzubringen und Moe eröffnte ne schicke neue Bar in einem
Wolkenkratzer. In teil zwo hatte Homer nen Autounfall wegen Navi
Fehlfunktion, er überfuhr Gil den Obdachlosen inienem “Weichensteller
Fall” wobei er sich entscehiden musste ober liebr einen Hudn oder einen
Menschen überfährt. Ernstchdid sich fürs größere Übel und musste vor
gericht, dort gab man ihmabe rrcht daß Hdelebenwertvoler sien als
mschelebenudndas fürhet dazu daß Hude die Kontrolle üer sprigfield
übernahmen. “Weichsteller Fall” ist dieses Ethik-Dng: Darf man einen
menschen töten wenn man mit seinen Spenderorganen mehrere ander
todkranke retten könnte also ein Leben Opfern um viele zu retten. / Dann
#berliNueKölln02407 Wo Emmi Migräne hatte, Tabletten nahm (und
vergass), sie trug ein Oransge Klid udn ein baue Jeansjcke genau wie
Amelie im Partnerlook, Fritt Tanzi nahmBen daniel mit isn cafe udn bekam
Unsummen an trinkgeld(?) für Kuchen den Ben Dnaiel wider auskotzte, das
passt für mich überhaupt nicht zsammen. Soltl enciht eher Fritten Tanzi
Schdenesratz an Emmi zahlen für den schlechten Kuchen als Tringeld
dafür zu bekomen? Musik: Erobe Ewigkeit (remix) und Milla will im Matrix
gegen Mikes willen irgendwelche neumodernen Sachen asuprobiern weil der
Laden laut Gsäetne nicht mehr “trendet”.
https://www.tvinfo.de/fernsehprogramm/1734969462-die-simpsons https://www.tvinfo.de/fernsehprogramm/1734969473-die-simpsons | |
|
11.08.2023 05:29 |
|
|
|
|
![]() | |
| [0] |
20230811-0529-0-1.jpg |
|
11.08.2023 10:30 |
|
|
|
|
![]() | |
| [0] |
20230811-1030-0-1.jpg |
| Als zusätzlicher
Aktualitätsnachweis nun zum gestrigen, 10. August 2023, 18:00 Uhr TV
Vorabendprogramm. Ich hatte mit nem Konfigurationsproblem zu kämpfen daß
sich in Folge des größeren Ausfalls in Übersee ergeben hat wielich
einige Dinge neu orgnaisiere mit dem no-gedrungen veränderten Setup.
Dahe rhab ich nur noch am Rand mitbekommen daß die Folge der #Simpsons
gezeigt wurde woe Lisa diesen Comoc/Cartoon “Sad Girl” Gahct hat, Bie
berliNueKölln2047 trug Emi eine hellbeige jacke mit farblich pasndem
Oberteil zu einer blauen jeans und Tierschutz Terror Tonis WG
Mitbewohner erpressten deren Vermieter die Küdigung der Wohnung
zurückzunehmen. Auf Fritten Tanzis Wrkshop ging es darum wie man zu
Kindern kommt als Infertiler.
https://www.tvinfo.de/fernsehprogramm/1734969844-die-simpsons https://www.tvinfo.de/fernsehprogramm/1734969854-die-simpsons | |
|
12.08.2023 15:30 |
|
|
|
|
![]() | |
| [0] |
20230812-1530-0-1.jpg |
| Immer noch
Nachwehen des Ausfalls mit Datenverlust in Übersee. Ich hab mich
entschlossen die Systeme auf den anderen Kontinenten zusätzlich zu den
ISO-Länder-Code Subdomains unter banktunnel.eu auch unter eigenen
Top/Secondlevel Domains verfügbar zu machen was es ermöglicht selbst
dann isoliert zugreifen wenn der Rest des Netzes nicht mehr gehen
sollte. Also die bisherige “us.banktunnel.eu” ist jetzt auch als
“banktunnel.us” verfügbar mit dem kompletten 20 GB Backups und für
andere Kontinente und Länder gilt dann ähnliches, auch die 32 GB an ISOs
und ZIP(EMAIL) Backups werden jetzt an gleich mehreren Standorten
verfügbar gelaten.
| |
|
12.08.2023 15:40 |
|
|
|
|
![]() | |
| [0] |
20230812-1540-0-1.jpg |
| Nun zum 18:00
Uhr TV Vornabprogrammvom gestriggn 11.August 2023: Bei den #simpsons
bemrekte Maggie daß sie das Talent zu pfeifen von ihrem Großvater
ge-erbt hat. Marge arbeitete als Innenarchitektin für Fat Toni der die
alte Post ineien Puff umwandeln wollte. In Teil zwo irrte Lisa sich in
einem Aufsatz üerb das alter des Universums, manwar imPlantrium egwesen,
schrieb Millioenn satt Milliarden. Es stellt eich herus daß Skinner an
einr Elit Uniangnommenwoirden war aebr sien Mom denBrief absichtlich
evshclampt hatte so daß er schul-direkotr werden/bleiben musste.
#BerlinneuKöllln20407 begann damit daß Jonas erfuhr daß er nicht in den
Knast muß. Leif wird als DJ nach Amsterdam gehen. Und ann kam inder
vorshcu daß Emmi es jetzt nochmal mit dem Kindeer bekommen per
Co-Parenting versuchen will.
https://www.tvinfo.de/fernsehprogramm/1734970359-die-simpsons https://www.tvinfo.de/fernsehprogramm/1734970371-die-simpsons | |
|
13.08.2023 16:30 |
|
|
|
|
![]() | |
| [0] |
20230813-1630-0-1.jpg |
| Auch getsren
ancht udn heute vormittag hab ic mich mal wieder darübr geärgert daß
Windows Computer mehr zum Selbstzweck da zu sein scheinen dennzum
arbeiten mit der ganzen Updaterei die da permanent im Hinter-grund am
laufen ist. Mien VPS haben fast imemr 20 GB vtiteulle HDD Platz udn das
wird sehr, sehr eng wenn man da mal schnell 8GB freimachen soll für das
20H2 Fuktionsupdate und ähnliches. Auch daß man nur noch auf GPT
Partitionen mit UEFI insllerne kann sorgt für nächtlange
Partitionskovertieungsnsarien vom abwärts-kompatibleren MBR Standard.
Natülrlich zerschieß das auch noch die Multiboot Boot-Loadern wie GRUB
so daß das hantieren mit “Rescue Disks” udn “Partitionierungs -Tools”
nervötendet Stundelange beschäftigung wird beim Nustalliren eines
UEFE//GPT Boot Loader linux
| |
|
14.08.2023 05:30 |
|
|
|
|
![]() | |
| [0] |
20230814-0530-0-1.jpg |
|
14.08.2023 13:45 |
|
|
|
|
![]() | |
| [0] |
20230814-1345-0-1.jpg |
| Nachdem ich mich
gestren den ganzen Tag mit Windows Updates rumgeärgert hatte zur
#Tatort Kritik von gestern abend: Da ging es um einen Typen der so
Männlichkeits - Seminare besuchte von Anti-Feminsten die zudem auch
noch so ne Art Neonazis waren die mittels angestrebter unterwerfung des
weiblichen Geschlechtes den Fortbe-stand der weisen Rasse sichern
wollten. Hierzu bedite der sich auch K.O. Tropfen die er in Discos in
Getränke von Frauen mischte. Eien davonw ar wohl das Opfer oder so ich
hatte den Anfang voFilme verpasst und war auch ziemlich müde. Der Typ
war was sien Chat-Gruppe Evrshclüsslung naging wohl aich ziemlich gut.
Er sprach sich mit Gleichgesinnten im Intrenet ab. Da mit den K.O.-Drops
apsst dehr gut zud emwas manmirasl Opfer 1999 udn schonal vorher im
Zivildiste angtan hat, war wohl wieder mal eine der seltsamen Parallelen
die im “True Crime” TV zu meinem Fall imer wieder vorkommen. Auch das
mit dem Motv der Rache pacct, nur daß eben Im realen leben nicht so sher
Männer sich wehren als daß vilemehrFraun wegn vergeltigunge Racheakte
ver- üben vond enen sich nchher rustellte daß jene Tat die Der Rche
zugrund leigt so gar nicht stattgefuden hatt. Man rächt sich für eine
vermeitliche Vergewaltighung von einer Frau duch eien Mann mit einm
Rtchefldzug aller fraun gegen alle Männer. Was bis zur Ehescheidung
Fürht mt dne erähten finanziel/extitellen Auswirkugen Aufdie der Typ im
Htole-Vortrag einging.
https://www.tvinfo.de/fernsehprogramm/1726063634-tatort | |
|
15.08.2023 05:31 |
|
|
|
|
![]() | |
| [0] |
20230815-0531-0-1.jpg |
|
15.08.2023 17:45 |
|
|
|
|
![]() | |
| [0] |
20230815-1745-0-1.jpg |
| Getsrn aben dhab
ich bis ca. 22:30 Uhr gesessen wegen datisystem Porblem am Backup USB
Stick. Kaum das man eine beim MD5 Summen Check gefudne bschädigte dtai
neu, zog dies andere Datein in Mitleidenschaft. Und das obwohl die nicht
“bewegt” wurden. Sowas kennichsont nur aus Multiuser Filesystemen daß
sich die Blocks beim kopiren dadruch verändern daß noch weitre Zugriffe
aufs Filesystem (etwa im Netz aufdem srevre) erfolgen. Ich mienmich
dunkel daran erinenr zu könen das mal für den Informatikunterricht
demonstrieen haben wollen. Zuner zeit wol die Leute DOS nutzen udn
gwohnt wraen über Laufwerke exsklusive bestimmen zu können. Auch heut
morgen wider Studne mit nchwehn des Servercrashs in Übersee verbracht
den ich nicht zu verantworten habe. / Daher nur ganz kurz zum 18:00 Uhr
TV Vorbanprogramm vom Moatg den 14. August 2023 getsren: Marge mchte bei
dne #Simposn whalkmapf ch nem Monorail debakel Und wie bei den
clintons war es vor allem Homer, ihr Gatte, der asl syyptshcier Trottel
die wähelrstmmen holte. In teilzwo war irgnddwas mit Bowling bei Moe. /
In #ebrliNueKölln20407 ging es ums Co-parenting, Emmi hatt Lasebn zu
ihremworkshop gealden, es gab ein ab-schiedsparty im Matrix für Leif
organisiert von tierschutz- terror Toni und Joe ebsuchte Bruno im Knast
und ver-sprach ihm wohl ihn dort wieder rauszuholen. / so, iund jetzt
widme ich mich wieder meinen EDV Probelemenn mit Filsystem-“Bad Sectors”
wie in der “Flopp”-Y Epoche.
https://www.tvinfo.de/fernsehprogramm/1739176650-die-simpsons https://www.tvinfo.de/fernsehprogramm/1739176656-die-simpsons | |
|
16.08.2023 05:43 |
|
|
|
|
![]() | |
| [0] |
20230816-0543-0-1.jpg |
|
16.08.2023 11:00 |
|
|
|
|
![]() | |
| [0] |
20230816-1100-0-1.jpg |
![]() | |
| [1] |
20230816-1100-0-2.jpg |
| So, war wider
die halbe nacht am roteiren. Das liegt vor allem daran daß so viele
Fehlinfos kursiern im Netz zum thema “slipstreamen” von Windows Boot ISO
Images. Wenn ich die “Original CD” von Microft lade dann fehlen da
nämlich Treiber für die VPS Harddisk-Contoller, das bedute amn kann zar
booten hat aber weder Netz noch Fetplatte zum installieren. Fhledes Netz
ist evrfatbar,d a kann man erstmal ein rescue image booten und was man
barucht auf ne zwote patrionder platte draufmachen die man dann beim
installieren nicht überschreiben darf. Aebr her eghtes darum daß sie
“iSCS” treber vom VM Hoster also der virtuellen Mshcine nicht verfügbar
sind. Udn wiel man währnd des neuinstallierens das ISO nicht auswerfen
und wechseln kann muß das ISO DVD Image vodem geboote wird gädnertt
werden. Udnd as ist imr (innsbesondere seit es uEFI gibt) das mit dem
Bootsector extrahieren und wieder neu shcirben ein Problem. Ein parr
Studnelang habe ich mit toosl wie PowerISO (DSIM Editor) und NLite in
der Shareware Trial versucht das zu lösen, nchdemich heute frü um ca
01:00 Uhr aufgab konnte ich dann endlcih mit mkisosfs von liux ergebss
rzeilen. Das ist alels sher sterssig wieldie ganzen 3-5 GB großen Isos
perment auch noch wzchen verschiedenen Servern gloabl hinudn her gshcikt
wrden müssen, ich hab nicht eürall genug HDD – platz um einISO zu
extra-hiere und wieder zu packen, daher. Außerdem hab ich auch nen
Esratz für die Notfll VNC-VPS (zum surfen) gebastelt.
Mit der grife ich ausf Netz zu wenn meinRhcner mal wider beschlagnhamt wurde wiel der Raspberry den ich als RDP/VNS/terminal Server-Client nutze selbst viel zu schwachbrüstg ist für das aurfuen der meisten websites. Das muß sicha lles vonder konsole (etwa per SSH) aus einschalten lassen im Notfall, der VPS srver muß dann aus dembckup wo er gshclumemrt hat restored udn aktiverit werden ihn als hot standby backup online mit laufen zu lassen wird auf dauer zu teuer. Fürmich als HartzIV/Alg2 Empfänger Parlle werde ic jeut noch ne Lösung absteln müssen um meinen Raspberry satt nem über 20 jhre alten PC als “printserver” für dei VM im Netz zu nutzen so lange mein Netzwerkdrucker defekt ist (wir erinenr uns, die Patronen-liefe-rung nch de rnichts mehr lief, zu demPorblem ahtet heis egtsren eien sher inetrsnten aritkel https://www.heise.de/news/Canon-HP-vor-Gericht-All-in-One-Drucker-scannen-nur-mit-Tinte-im-Tank-9242758.html genau das problem habe ich auch). Der ate x86 ist wazr ne billeg lösung verbucht aber unmegen an trom wennich stat dem netzwerk-drucker einen <50 Euro eikausfsprsi vor üerb 10 jahren billigstdrucker bei dem die ptron mehr ksoten als das gerät per usb nabidn will an di mschine im netz. Udn bei de rist lide rdie paltet voll siet dem 2022H2 update im Mai udnd ahe rbruch ich jezt ne ISO mit integriertem/ geslipstraemten 2022H2 damit der alt emüll nicht länger die patte blokier udnd amit die fuktionder vm/vps https://9to5tutorial.com/recreate-a-bootable-windows-installation-iso-with-mkisofs | |
|
16.08.2023 17:30 |
|
|
|
|
![]() | |
| [0] |
20230816-1730-0-1.jpg |
![]() | |
| [1] |
20230816-1730-0-2.jpg |
| Ich hab ja schon
gesagt daß ich die ganze Zeit mit dem Platzproblem bschäftigt bin das
wegen dem (ISO) 20H22 Update von Windows auftritt, daß mir die
Festplatte voll-läuft. Ich hab jezt endlich auch das 64-Bit Boot ISO DVD
zum Bootne bkomemn be wzo Hostern unbahägig von-einander wobei der eine
mich stundenlang damit be-schäftgt hat mit einer sich aufhängeden
Netzwerkkarten- Triber Installation umzugehen, nochmal ien koplett neus
Iso gebaut, nochmal reinstalleirt mit ner älteren Treiber-version usw.,
es veeghen studne wo der Couter nur mit sichsbt bshcäffigt ist damit ich
monatlich ien paar Eruo Eisparenkann an servermite udn strom. Will
sagen Leute mit Geld imPortemonnaie haben solche Probleme nicht. Die
könnesich die bessern isteverer lesiten dei fehlerfrei laufen statt sich
mit Norlösungen rumärgern zu müssen. So, 17:30 Uhr, ich bin jezt soweit
daß ich beruhigt sagen Kann die ein alte Miet - Backup VPS kann außer
dienst genomemn werden die ich wegnd er Beschlagnahme der PCs bei mir
gmiet ahtte, ich hab jezt ne Lösung gebaut die sie zuevrlässgig aus nem
abckup hochboot bei bedrf so daß ich nur noch sien Semit anstatt einem
richtigen Hot-Standby hab um arbeistfähig zu bleiben trotz daß die
Justiz immer rechner abshcaltet/beschlagnahmt. So geht es ja
#berliNueKölln02407 Lynn gerde auch, ihr Tabelt-PC wurde von den
emittern einkassiert den sie iegtlich für die shcule brauchte - und wer
zaht die mirtgebürhen für estazgeräte? Rate mal! Der Betroffene wi ich
natürlch,
Ich hab ja kaum geld, lebe von HartzIV/Alg2 weil korrupte Bullen und pateri ud gwerkschaftappartschicks mich in den ruin getrieben haben und darf mir die Kosten für Ersatzlösugen wie Sreverrmieten vom Mudne absparen imwhsretn sinen des Wortes. Die Betaen sind alle nur dran itersseirt ander auszplündern, so muß sich das bi den Juden agühlt haben als die nazis deren geschäfte “arisierten”/dichtmachten ode rbei den Heimatver-triben als die Russn sie aus ihren Otpreussen-Häusern Jagten udn zur flucht zwangen. Mit genau solch schwer Kriminellen hab ich es ja auch zu tun. Da weiß man dannwarum gestren am 15. August 2023 um ca. 18:00 Uhr die #Simposn daraf verwiesen daß es noch atom-raketen in den silos gibt um Kommisten zuevrteieben. Es geht nicht um Geld sodner um die blanke Existenz. Bei Mölelrs Kithc shcläget aj jetzt ein dubiose “steuer-fahndung berlin” zu die es gar nicht gibt hat man mir in Hexkssel egstt,d as sieeie Betrgsmshc von Kommunisten Plündereren die von Krruten Justzbdiestet gedckt wrden. Die meien asl “TARIFangestellte” fürs Shciße baun im Staatdisnt nicht genug bezahlt zu bekommen vonden die es wie ich füher ruch programmshciebne udn Netwze bauen hart ersbeietn müssen. Diese “steuierfahndung berlin” betpüergnag wr shcon Im hexenkessel Thema, de rkinep meinr Gelschchenden ex in bad homburg Ende der 1990er. Wa war sonst noch los? Emmi aßEis vorm la-14, Jos soll zur Kur udn luna kam aus Leipzig (von Denny). https://www.tvinfo.de/fernsehprogramm/1739177200-die-simpsons https://www.tvinfo.de/fernsehprogramm/1739177210-die-simpsons | |
|
17.08.2023 05:32 |
|
|
|
|
![]() | |
| [0] |
20230817-0532-0-1.jpg |
|
17.08.2023 13:00 |
|
|
|
|
![]() | |
| [0] |
20230817-1300-0-1.jpg |
![]() | |
| [1] |
20230817-1300-0-2.jpg |
![]() | |
| [2] |
20230817-1300-0-3.jpg |
|
17.08.2023 16:00 |
|
|
|
|
![]() | |
| [0] |
20230817-1600-0-1.jpg |
![]() | |
| [1] |
20230817-1600-0-2.jpg |
| Heute gab es mal
wieder Post, die übliche absolut nicht lustige "Verarsche" zum Thema
Wennsie Widerspruch ein-legen wollen oder anzgen eirichen wegen
velorener Post beim Prozesskostenhilfsantrag ohne den sie keinen Anwalt
bekommen nehmen sie sich doch einen Anwalt. Auf die Kontoauszüge für
deren Zsudneung man mir frech schonmal 2,50 Euro abgebucht hat wart ich
immer noch. Ansonsten hab ich heute morgen im Rahmen meiner in Übersee
Ausfallbedingten Umaubarbeiet die sich auch auf das Plattenplattferssen
2022H2 Update beziehen mal schnell einen opitimerten Editor fürs Blog
gebastelt und ein Tool um den allmorgemtlichen Früh- stücksfernsehen
Screen-shot schneller erldigen zu können. Daher sieht das vom
Shcriftbild her villeicht einw wenieg anders aus als bisher. Zudem habe
ich herausbekometn daß die Notfall-Scanner lösung über nen kaputten
Multifunktionsdrucker jezt immer genau so "lange" Ausdrucke macht daß
der Dateiname der drunter stehen soll auf ein einzelnes Blatt gedruckt
wurde im PDf, daher skaliere ich jeztt von 43% aufs 42% (Ränder sind in
Mozilla Firefox about:prefernces bei 0.5, das macht laut Druck-Dialog
Page Setup-1.27 Milimeter) runter. Dann passtw ider alels auf eine Seite
wie vorher auch,als der Dcuker noch nicht defkt war und ich deshlab
auch den Scanner wechslen musste. Udn der Notfall-Erstaz aus Uralt
Schrotthardware zusammen-geabstelt scannt stand-ardmäßig von den
Abmessungen nicht mehr US-Letter sondern wieder A4 ein. Nun aber
zum TV-Vorabendprogramm um 18:00 Uhr von gestern, 16. August 2023 Angefangen wohl am besten bei den #Simpsons wo um Lisa ein Sängerwettstreit entbrannte "Jazz Krieg" nannte sie das. In Teil zwo ging es um die Nostradamus Prophezeiungen daß es eien Dritten wltkrieg geben wird. Deretwegen baute Mr. Burns so eine Art Weltraum-Arche. Und man wollte diejengen die üebrlebn sollten per einemWissenschaftlichen Verfahren bestimmen. Und auch in der RTL2 Soap gab es einen Sängerwettstreit, Piet wolte mit Gsang udn tanz Milla und Mike helfen das Matrix zu retten. Emmi trug dieses mal ameien halblangen gelben Mantel oder Blazer. https://www.tvinfo.de/fernsehprogramm/1739177632-die-simpsons https://www.tvinfo.de/fernsehprogramm/1739177638-die-simpsons | |
|
18.08.2023 05:30 |
|
|
|
|
![]() | |
| [0] |
20230818-0530-0-1.jpg |
|
18.08.2023 18:00 |
|
|
|
|
![]() | |
| [0] |
20230818-1800-0-1.jpg |
| Heute kam die
angemekcerten Kontoauszüge per Post, bin den ganzen Tag am optimieren
der Programmierung die ich fürs Blog gsmcht habe (Bugfixing) die letzten
Tage. Daher nur kurz zum 18:00 Uhr TV Vorbanprogramm vom gestrigen 17.
August 2018, ca. 18:00 Uhr. Die #Simpsons zeigten die Folge mit dem Bild
"Die Richetrin" von "Miro" das Homer und Lisa so toll fanden. Das aus
dem Spring-filder Musemum getsohlen Bild war zu hoch versichert. Alo
shctet man ien TV Serei Dettktiv eien. In Teil zwo ging es dann umdas
alte viretl indem Homer Und marge ge-wohnt hatten bevor sie Kinder
bekamen. Bei der RTL2 Soap #BerlinNeuKölln02407 hatte Lynn Liebeskummer
da Jonas auf dem Familienbild mit luan zu sehen war (wo ja eigentlich
Denny dazugehört) und Chaiars Trost bestnd darin zus agen daß sie ja
dervatrersatz sei, nicht Jonas. Im Matrix gab es Sabotageakte am
Lichtsystem, war das nicht auch mal im Gambrinus in Bad Homburg Thema?
Ansosten gab es ent shershcön siezrneirten Abschied von Paula die zu
Marie in die Nähe vom Internat ziehen will.
https://www.tvinfo.de/fernsehprogramm/1739177842-die-simpsons https://www.tvinfo.de/fernsehprogramm/1739177848-die-simpsons | |
|
19.08.2023 13:00 |
|
|
|
|
![]() | |
| [0] |
20230819-1300-0-1.jpg |
![]() | |
| [1] |
20230819-1300-0-2.jpg |
![]() | |
| [2] |
20230819-1300-0-3.jpg |
|
19.08.2023 14:00 |
|
|
|
|
![]() | |
| [0] |
20230819-1400-0-1.jpg |
| Zum 18:00 Uhr TV
Vorbandprogramm von Gestern, dem 18. August 2023. Bei den #Simpsons
schaftfe ichs gerade noch so rechtzeitig zu Teil zwo einzuschalten, die
folge wo sie netzsüchtig sind und zum "detox" in einen Buch-laden gehen
wo Marge ein Buch aus ihrer frühen Kindheit über Sklaverei entdeckt und
Bart "Die Kunst des Krieges". Ansonsten spielte man in
#berlinNeuKölln20407 Beach Volleyball udnJoe sollte irgendwie zur
Kur/Reha damit er nicht eien neun herzfarkt bekomtm wenn er sieht was
die anderen (um Bruno mit seinen Finanzen gemacht haben.
https://www.tvinfo.de/fernsehprogramm/1739178087-die-simpsons https://www.tvinfo.de/fernsehprogramm/1739178093-die-simpsons | |
|
20.08.2023 17:00 |
|
|
|
|
![]() | |
| [0] |
20230820-1700-0-1.jpg |
![]() | |
| [1] |
20230820-1700-0-2.jpg |
![]() | |
| [2] |
20230820-1700-0-3.jpg |
![]() | |
| [3] |
20230820-1700-0-4.jpg |
| Ich untersuche
da ich wegen dem kaputten Drucker ge-zwungen bin Faxe per PDF-Datei
Uplad im Internet zu versenden gerade FORM MULTIPART Uplade Problem
von einem der älteren Browser die ich nutze damit die in Dateien
ausgdruckten PDFs vom Blog genauso aussehen wie bisherige Versionen
Porblem dieser älteren Version vom Firefox mit dem Form-Upload
DROPZONE.JS klar- zuk ommen das der Anbieter des Faxdienstes verwendet.
Das ist mehr als nervtötend sowas zu debuggen und ich jhab daher ein
bash-script mit wget gschrieben un eine php Seite die upload variabalen
dumpt wenn man die Ausgabe des Web-Formulars vom Faxdienst dorthin um-
leitet. Das Ergebis ist daß die gar nicht wei ses heißt aus
koatibiltäsgrüden wie ebsuiehr nur einen Upload machen sondern zwo. Hab
mich durch tonnen javascript gewühlt. Da klappt idgwas mit der übergabe
des Anmldee Tokens nicht. Udn da ahtte ich ein total Dejavu zu dem
BigFax Debakel damals. Das sieht nälichalles ganau so aus wie das was
die damals verbockt hatten bei dieser Klinene Bad Homburger EDV Frma wo
och als Subutrenehmr mal das Forntend programmiren sollte für sowas. Wo
sie (das war vor über 20 Jahren) Händerigend Investoren suchten die das
kaufen, die LAN-Netwzerk Faxlösung und wollten das ich das für sie bei
Firmen die ich kenne vermarkte, da habendie noch so ne Expertin
"einfliegen" lassen oder so die das aufKopatiblitä mi igendelchen
Klinik-Faxsoftware prüfen sollte udn da wurd auch mit wget debugt
damals.
Ich erinenr mich noch genau wie es um Filupad per curl oder wegt ging damnsl, parralle dazu hatte da einer von den Prakatikanten die auße rmir d ajbibten glaub ich noch Informatik-Abi oder so, ein paar Jahrgänge vor mir. Ich wieß noch daß da der Kurdirektorssohn Bruckmaier igdnwei involviert war wieldei das den Kurkliniken zu ver-kaufen evrsucht hatten. Das Ding wo ich warnte daß man sich damit seine beleglose Zahlugsverkehr per EDV Bank-Übereisungsprotokoll mit eingescannetn Utsrcften selbst unterschreiben könne. Mirkommt das hier alles vor wie eein großanagelegt Rchaktion woe man mich absichtlich sabotieret idnem man i heiteg sofwtare Porbeklem von damal nachträglich reinpatcht. Da war irgendein hohes tier von dern Kurbetrieben in ganz Deutschland oder so mit bei der präsentionvom bruckmeir damals ode irgend- einAzt ode profesor doer so. Und ich meien daß ich dams scn malKontkt zu der naältin hatet die jezt shcinbbar ab-scihlich mein Berufugsverfahren verbockt. Die ist doch laut iher webist Exprtin für Medizinrecht. Und ich erinn-ere noch da die damsl irgendne Manager Anstellung in ner Firma haben wollte wo es um Sofwtare für Kliniken ging wofür die glaub ich diese bestenfalls im frühen Beta Stadium befidlich Faxlösung der Homregr EDV Firma ansahen in der Präsentation damals. Zufälle gibt es die gibt es gar nicht. Ich käpf auchdegen daßd er schrotthard-ware Scanner von ebay den ich hier noch "als Backup" hatte (zum Glpck) sich wie einer aus ner Hacker-Demo für dei Justzt nichr ordentlich beim Wifi-iHostopt abmeldet, sozusgen die Hintertür anglehnt lässt beim auschalten. Es ist ganz genau als ob jemdn mir gezielt udn böswillig die gaze Isvoenzamsse ahrdwre vondmals unterzujubeln versucht oder sowas inder ichtung vn Dritten udn zwar noch Jahre später indem er ganz gezielt ebay Auktionen manipuliert. Igdneienr ovnden Kurbetrben oder dieser Polen EDV Firma. Haben die nicht Utas Ex Freund de rbei der andern EDV Firma berite im Ate Bahnhof dem C64 - Homcore alden damsl, haben die nichtdem auch versucht so eine Faxserver-Software "Hylafax" oder so anzudrehn? wo er dmals meite "Hyla" stüdner für "Heiler" im Sinne von Medizienr/Ärzte udnerbakm doch auch nachdem er mit Uta auseinder war ganz komische Avancen aus dem BDSM/Sado-Maso Milieuwas zu sienm mysteriösen viel zu füphen ablaben um 2010 herum führte. Da scheint es einen Zusmmehag zu geben ushcnSoftwarbschaffung im Klinik/Justiz/Polizeibereich, das wo och gesgt hae ich glaub ich bin an eiender laten scnner gekommen zufällig auf ebay die Justizlogos, Stempel/Uterschriften einzu-scannen mit maipuierter FIRMWARE zu unterbinden zu versuchen. (So wie modern Farbotokopieren sich wiegern Gelschiene zu fotokopiren um Fälschungen zu erschwern). Damal hate ich doch mit diesen Schriftaschverständigen Foresikern zu tun im rhmen der vorabreieten zu Rechren ums ALTEIGTUM (Grudesitz-Urkunden in ostpreussen und so) die BKA-Gutachten im Hiter-Tagebücher Flm #Schtonk Da wo auch der #polizeruf110 Fernseh-Krimi "Hermann" drauf basiert. Oder "das Leben der anderen" wo man an-hand einer Schreibmaschine siende der DDR-Stasi heraus- findet welche der regimekritischen Autoren den Umsturz planen. Er versteckt seine alte Schreibmaschine ja damals um nicht entdeckt zu werden. Mir kommt das vor als würde ich jamnd beim Fershenoder BKA/LKA viel Mühe geben mich Dige issne zu alssn ohen ein Wort zu sagen. Vilelecht wiel er aus ebruflichen Grden nichts sagen darf. emdnder üebr eien immes Machtfülle verfügt, villeicht Miltärischer Abschirmdienst doer sowas. Passend dzu lief gestren abend auf ONE HD auf meinem alten Röhren-TV den man beim allmorgentlichen FrühstückstV Screenshot Zeitstempel fürs Blog sieht "mit O-h-NE H-igh-D-efintion Bidlschirmqualität Auflösung ncoh so ne Serie ab 20:15 Uhr wo es um eine Diktatur und Medizin ging woe wir ja alle wissen daß es viel gesterkrnbkehiten gibtdie nr er-funden wurden um Poltsche Gegner fetgzsuchen indem man sie zu Tode therapiert oder euthasnatsiert, etwa um an das Vermögen (alter hilfloser) Menschen per plündern wie bei den Nzis oder Kommunisten heranzukommen. https://www.tvinfo.de/fernsehprogramm/1730381044-arcadia https://www.tvinfo.de/fernsehprogramm/1730381048-arcadia https://www.tvinfo.de/fernsehprogramm/1730381051-arcadia | |
|
21.08.2023 05:37 |
|
|
|
|
![]() | |
| [0] |
20230821-0537-0-1.jpg |
|
21.08.2023 14:30 |
|
|
|
|
![]() | |
| [0] |
20230821-1430-0-1.jpg |
![]() | |
| [1] |
20230821-1430-0-2.jpg |
| Gestern hab ich
mir den #Tatort Limbus der schon einmal life nochmal angesehen, es sit
die Folge wo der Gerichts- mediziner Prof. Börne einen Unfall hat udn
mit dem Tod ringt. Dabei kommt er in eine Art Vorstufe zur Hölle dei
sich duch ein Foltre-Bürokratie auszeichnet. Er trifft eine verstorbene
Kollegin udn sein Platz af der Erde wird von nem Idtstätbetrüge, einm
falschn Arzt angnommen der zur Verdeckung seiner Strafaten Menschen
umbringt. Diesmal versucht der durchs Physikum(?,) ne Mddiziner-prüfug,
gerssslete ehemaliegstudent die Identität des Ur-lausbvetretsr des
Professors anzunhemen um so Spuren verwischen zu können anhand derer man
sonst fest-stellen könnte daß der Pfessor nicht zufällig eienautufnall
hatte.Es wird sogra noch versucht ihm in der kLinik den Rest zu zu gee
idnem der falshec arzt dr mich an die Geshochte des Hochstapler "Dr."
Gert Postel erinnrt ihm eine Spritze ver-abreichen will . Seit um ca.:
04:00 Uhr früh ärgere ich mich außerdem mit SIP/IAXmodem und HylaDax rum
um meine Faxporblematik in den Gruiff zu bekommen. Sieht ganz gut aus
seit seit ca 13:00 Uhr lso nch merh als neun Studne herumgebastel an dem
hauptsächlich eine neue Konfigratiosndatei-Syntax für VoIP meines DSL -
Anbietrs auf Lnxushculd sit wo man drei zelen versschiegen hat die dea
noch mit higehören im Config-Code-Schnippsel den die auf ihrer Website
as Besispiel haben. So wie es da steht funktioierte es jeden- alls
nicht, das haben stundenlage Tests in den fühen
Morgenstdne und am Vormittag ergeben. Und ich bin wegen dem nach der Tinteliferung ausgefallen Mulit-ufktions-Drucker mit Faxfuktion leider aufd ei Krücke eines Intrenet-axes angweisen wie ich mir keien neuen Drucker leisten kann zur Zeit. Daher der echt immense Aufwand an Zeit den ich druch sowas habe. Wie geagt: Wer Geld hat der hat solche problem wie ich nicht. https://www.tvinfo.de/fernsehprogramm/1729689008-tatort | |
|
22.08.2023 05:31 |
|
|
|
|
![]() | |
| [0] |
20230822-0531-0-1.jpg |
|
22.08.2023 17:30 |
|
|
|
|
![]() | |
| [0] |
20230822-1730-0-1.jpg |
| Nun zum
gestrigen 18:00 Uhr TV Vorbandprogramm vom 21. August 2023. Bei den
Simpsons gab es ein Demolition Derby Grandpa hatt eienen Heerzanfalll
und man fand ver-lorengeglaubte Kuchen-Rezepte wieder. In Teil zwo gings
um Sabotageakte im Krieg der Matratzengeschäfte wo man Schädlinge
einsetzte. #berliNueKölln02407 be- gannd ami das Bruno aus demkanst kam.
Dann endlich wieder 3sat Kulturzeit. Thema waren die Slazburge
Fest-spiele udnd ie Flüchtligsoper "Greek Passion". Es gab ne
"jedermann" inseznierung udn andre shcue sang auf ner Bühne "im
Ceneamscope Format", DAnn gab es comics von Liv Ström ein eienr
Aussetlloung in Zürich, und Film-festspiele zur "Heimat Eruopa",Musik
von eienr abdn "The Good Life" un dnkorensichen Kofilem und am Ende
sprch eien Kabaratttistin vond er Erosion der Berge.
https://www.tvinfo.de/fernsehprogramm/1743261388-die-simpsons https://www.tvinfo.de/fernsehprogramm/1743261394-die-simpsons https://www.tvinfo.de/fernsehprogramm/1727708199-kulturzeit | |
|
23.08.2023 05:32 |
|
|
|
|
![]() | |
| [0] |
20230823-0532-0-1.jpg |
|
23.08.2023 17:30 |
|
|
|
|
![]() | |
| [0] |
20230823-1730-0-1.jpg |
| Zum ca. 18:00
Uhr TV Vorbandprogramm vom 22. August 2023: Bei den #Simpsons zwangen
die Rowdies Bart in Frauenklamotten Lieder zu singen. Anstatt eien Oma
zum gebrustag zu besuchu en wie gepalnt wurde deren Flug nach New
Orleans umegelitet wo es eine Explosion des Geschmackts , Homer war
übergücklich wegen der gazen kulinarischen Sehenwrüdigekiten, Lisa
gefieln dei jassz Clubs In Teil zwo musst Naed fldner sein Job im AKW
annehemn anchdem be sienm Lefotrium die kundschaft ausbliebn. Er
veruchte sich zudem auch noch als Lehrer. in #berlinNeuKölln02407 geint
es wohl um die Rolle des Frauenarztes bei Kidnersuch Trhapeiren, daß er
nicht die Iterssen von unfrillgen Samsnspoender etc. im Auge haben muß
sodnern nur ums medizinische Wohl der Gebärenden. in der 3sat Klutriet
wurde der abrbie-Film angepriesen. Es ging um Poltikwie das
Ehegattensplitting. Ein Kunst-feste in Wiemar. Einausstellung "forever
Jpung" danaach um eien jüdischer Autorinn die Roman schrieb wozu die
Kulsse des Bitars einshcimmbad mit einem Auto war. Dann wrd das buch
d3enr autorin Don Me Chei vror-gestellt DMZ üerb Koreeansiche Fmilien
und Bettina Rust sinierte aus der Hängematte. In #berlinNeuKölln02407
will Joe zur Reha udn Bruno scheint glimpflich davonzu-kommen bei der
Geldsächssche. Dann ging es umdie zackenferdeumngtd er Ehe um an
Sorgecht zu kommen das einem gar nicht zusteht.
https://www.tvinfo.de/fernsehprogramm/1743261889-die-simpsons https://www.tvinfo.de/fernsehprogramm/1743261903-die-simpsons https://www.tvinfo.de/fernsehprogramm/1727708281-kulturzeit | |
|
24.08.2023 05:47 |
|
|
|
|
![]() | |
| [0] |
20230824-0547-0-1.jpg |
|
24.08.2023 17:30 |
|
|
|
|
![]() | |
| [0] |
20230824-1730-0-1.jpg |
| 18:00 Uhr TV
Vorbandprogramm vom 23. August 2023: Die #Simspons machten wegen der
Krankenvrsicherung von Grandpa Urlaub in Dänemark. Im Teil zwo gabs dann
Ricola Werbung, der Intrenet Router fiel aus und Bart wurde vom Blitz
getroffen. Er lamisnkarnkhaus und lag im Koma. inder 3sat Kulturzeit
ging es um Missbrauch bei Kinderverschickungs-Kuren. Udn um ilagel
Shculen für Mädchen in Afghaistan. Und in einem "Britisch Museum"
verschwanden Dinge. Dann gab es eune Fotoausstellung von "Rankin" Namens
"Zeitsprünge" Ein Buch "ichtraf Hiler" ien Frau Thomspon. udn den Film
"Sehnsucht nach der Welt". Dann gab es was zu einem virtuelle Realität
Computerspiel "Viewfinder" un ei Hirforcher sagte das was wir Relität
nennen hautsächlich eien Haluzination seit, wir würden usn die welt
zurchte haluzineren. Dann gab es noch eien Zudfirdenhisstuide in der
Schweiz. Udn eien Muiker der besng daß die Reichen merh abgeben müssten
damit es den ärmeren besser ginge was aber dann heißt daß es den
finzille schlechter gehe. Un in #BerliNeuKölln02407 hatt milla ein
älteren Stalker von dem sich herusstelte daß er Mikes Vatre ist mit dem
der aus usn nicht bekatten grüden nichst zu tun haben will.
https://www.tvinfo.de/fernsehprogramm/1743262337-die-simpsons https://www.tvinfo.de/fernsehprogramm/1743262347-die-simpsons https://www.tvinfo.de/fernsehprogramm/1727708364-kulturzeit | |
|
25.08.2023 05:40 |
|
|
|
|
![]() | |
| [0] |
20230825-0540-0-1.jpg |
|
25.08.2023 09:00 |
|
|
|
|
![]() | |
| [0] |
20230825-0900-0-1.jpg |
![]() | |
| [1] |
20230825-0900-0-2.jpg |
![]() | |
| [2] |
20230825-0900-0-3.jpg |
![]() | |
| [3] |
20230825-0900-0-4.jpg |
![]() | |
| [4] |
20230825-0900-0-5.jpg |
![]() | |
| [5] |
20230825-0900-0-6.jpg |
![]() | |
| [6] |
20230825-0900-0-7.jpg |
|
25.08.2023 09:01 |
|
|
|
|
![]() | |
| [0] |
20230825-0901-0-1.jpg |
![]() | |
| [1] |
20230825-0901-0-2.jpg |
|
25.08.2023 10:00 |
|
|
|
|
![]() | |
| [0] |
20230825-1000-0-1.jpg |
![]() | |
| [1] |
20230825-1000-0-2.jpg |
![]() | |
| [2] |
20230825-1000-0-3.jpg |
![]() | |
| [3] |
20230825-1000-0-4.jpg |
| Maximilian Baehring Hoelderlinstrasse 4 D-60316 Frankfurt/M
vorab per Fax: +49 / (0)6051 / 971400-4 per Einschreiben Obergerichtsvollzieher Postfach Im Internet findet sich unter der URL http://banktunnel.eu/pdf.php und URL http://blog.sch-einesystem.de/ mein ausgedruckt ÜBER 26.000 DIN-A4 Seiten umfassendes Internet Tagebuch / Blog, als Offline Version downloadbar unter *** als ISO-Image (brennbar auf DVD) mit tagesaktuellen ZIP-Archiv Ergänzungen Frankfurt/M., 24. August 2023 Aktenzeichen 40 DR II 2530/23 (LT 13.09.23) Schreiben datiert 21. August 2023 Ladung zur Abgabe der Vermögsenauskunft für den 13.Spetmebr 2023 im 09:30 Uhr Zawngsvollstreckungssache im Nebensache verfahren VI ZVB 67/22 Bundesgerichtshof Karlsruhe Kassenzeichen 780022149041 ein Betrag von 132,00 Euro plus Gebühren, inzwischen 180,05 Euro für den unter 82 M 2467/23 Amstgericht Frankfurt a.M. ohen das mir anfechtbare Entschiedung vorlag Vollstreckungsshcutz betragt wurde wozu ich erst heute 24. August 203 Post hrilt, datiert auf den 08. August 2023 Sehr geehreter Ich bin 2020 telefonisch von einem Betrüger der sich mal als „Viktor vom KGB" der VÖIP Telfon hackt ausgbibt mal als Landrichetr Beck auf das allermassivste bedroht worden, habe dieess bei der Polizei strafangzeiget und in Akte des polizeiliche Ermittlugsverfahrnes hat der Täter der ermittelt werden konnte mit überteurtem Anwalt Akteneinsicht genommen wofür er von mir Schdensratz fordert. Daggen hab ich mich gewehrt un die Forderung stammt aus einem Nebnsachenstcheid (Abhleungsantrag u.a.) dieses Verfahrens für das ich gerade in Berufung gehe. ihre"förmliche Zustellung" mit ner Post-übergabeurkunde (Blatt, nur vorderseitig beruckt, Seite 1) vom 21. August 2023 für ein sechsseitiges Schreiben, 4 Blatt, Blatt 2 auf Vorder und Rückseite (Seite 2 und 3) Schreibn wo Gerichtsvollzieher Marcus Krug mich für 13. Septeber 2023 vorlädt, daran angetackert auf Blatt 2 (Seit 4 und 5) 4 DIN-A4 Seiten auf ein Blatt kleinkopiert Vollstreckungsauftrag der Bundeskasse Halle mit dem Dienstsitz Weiden zu dem Kassenzechen 780022149041 Bundes-gerichtshof Karlsruhe in Höhe von 180,05 Euro, und auf dem letzten Blatt 4, nur vordersitig bedruckt, Seite 5 dann eine Tabelle aus der hroverghet daß es sich um die ursprüngliche GerichtskostenRechnug von 137,00 Euro handelt. Als meien Großmutter 1989 vesrab erbten meine Eltren ein Haus auf das ne Tricjk-betügerbande (daruter Mistchüer vonmir) es abgesehen hatte, man wollte das wir im Osten keine Alteigeentumsansprüche geltend machen und deuzierte die fmilei als Nazis die man duch die DDR-Kommunisten zu Recht "enterbt" habe als wider-gutmachung für Verhcne an den Juden. Min Vater war damsl Metallgesellschft AG Manager, wir waren zwoeihalb Jahre in Thailand gewesen wo der Bundepräsident auf Statsbscuh war mit Marineschulschiff im Schlepptau bei dessen Begrüßung meine Mutter von Matrosen sexuell belästigt wurde, es gab Schwamgerscftbbruch-Diagnostik und Gerede über eine Vergewaltigung das wollte das Bundespräsialamt unter den Tisch kehren. Ich war in einr Zeitung tätog, als Abgeordneter Poltiker und Unternehemr nach der Rückkehr, war in Recherchen involviert die das Attentat der RAF Terroisten auf die lousine von Deutsche Bank Chef Herrhausen in meiner Heimatstadt angehen und Paparazzi-Foto-Skandale um Olympiareiter die mit dem europäischen Hochadel im Kurpark Turnier ritten. Ich habe einiges an brisanten Infos dertwegen man mich unter Pschopharka setzte, mir ein Kind anvergewaltigt und diese dann entührt hat um mich zu erpressen. Zu diesen Kidnapperngehört der Verfahrnsgegner, der auch Telefondrähte durchtrennte, heir im Haus Feuer legte. Ich habe kommunitische Feinde die as sVermögen meiner Eltren heran- (etwa dnen keine Miete zahlen) wollen und die Jusitz/polze hilft mir nicht wiel man Angst hat daß ich gegen den Bumdpräsitdtenten, in Sachne RAF Terror Ermittlungspannen im Spregstoffanshclag Herrhausen oder wgen der Adeligen aussage. Die Erprssungen meines vaters führten zur pleite des milrschdern DAX Kozerns Mteallgesllcaft AG das war ein VOLLSTRECKUNGSBETRUG Frakfurt gerichtvillzehr damals wegen ner nicht existenten Forderung der Deutsche Bank für angebliche "Öloptionen". Als Rache jagte man Bankier Herrhausen in die Luft dns hcb es der RAF in die Schuhe. Da ar zur Zet der widerverigung als der Immobilienskandale um "Peanuts Schneider" mt seinem Spkualtionsobjekten im Osten, wegen ost-Alteigetum wrde auch der Treuhand Chef Rohwedder ermordet damals. In meinem Blog kann man das alles nachlesen. Es gab auch Film/Fersheschaffende die versichten Rechte an der gscihte vom Markt zu kaufen damit sie nicht öfflich wird, ich war etww beteiligt an den Vorarbeiten zurm Drehbuch des #Polizeruf110 Fersehkrimi Hermann, mein Schülerzeetusgkollege Chrisitan Metz arbeitet ür die Kluirzet bei 3sat/dem ZDF in Mainz. Es gab eien Riesenskandal den macn in jeder bundeweiten Zeitung nachlesen kann. Undicha sollt da als Südnebock aufgenaut wrden. Man berohte 1998 mein schwangre Freundin epürersst mich mit meinem Kind udnjder menge Rufmord Vorwürfen deret-wege ich - zvor Uentrehmer dessen EDV Fiam zur jahtausndwende mit Viren/ DDOS/ SPAM/ Hacker - Cyberkriminialtät in den Ruin getreben - arbeitslos wurde. Man hat mich mehrfach (acuh von koruten Beamten her) zusmmemgechlagen, cih ward (auch meiner politischen Arbeit wegen, ich organisoerte Datemshcutz Demos auf der Zen mit tausenden Teilnehmern im Ufld de rpräter Pirtenpertei) bedroht, fat zu Tode gewürgt. Werde perment bedroht. Genau wie vom kriminell organisierten Rickbetüger Michael Beck der zu den grünen poltikern meiner füheren poltischen Mitbwerber gehört die mich 2013 ver-giften ließen und in merhrere ertszunhemen Suizdvercuh gehetzt haben mit wieder im Klakrnehaus zusammengenähten Halsdern. Der will nijn dafür daß die Polize ihe abrit nicht richtg macht bei Ermittlungen ge ihn von mir Schdersatz die Bezahlung Akteneinsocht-Anwaltsrechnung. Allein darum geht es. Er hat versucht Gerichts-Verfahren aktiv zu sabotieren, ich dürfe keinen Anwalt bekommen mit entführten Kind epresst er falsche Selbsnezichtungen. Akteulle geht das Hauptsacheverhfern Berufung, man sabotierte mit aller Gewalt daß ich anwaltlich vetreten werden kann. So aich inder Nebensache woe se um die gelic mehrern Ablehnungsantäge gegen die Amtsrichter Trendelendrorf und Leutner geht die das verfhrne aufdas skaläöset vor ein dafür ger nicht sztädige gericht zu führen versuchten. Immer woeder hat man aus der mehr al 1.500 DIN A4 Seiten umfassneden Verfahrensakte Uterlgen verschinden lassen, mit Aktemzeichen die man fisch nagab getrickts und sehstellige usmmen erpresst. Ich sollte wegen meines gekidpppatn Kinds Immobilen meir Eltern iNvorgiff auf späteres Erbe üerbshciebn. Da ich in der Haupt-Sache aktuell in Berufung gehe gee ei reil daß der Richter gen den noch zwo Bafgsheistantäge laufe sich in Zustand der bshclussunfähgkeit zu fassn erdriestet hat habe ich mein letren, di mri mit begelichung der Neben-sache-gerichkosten-Forderung die ich siebst als HartzIV/A1g2 Bzeher nicht zahlen kann gebeten zu warten. Meine Muter hatte angeboten "einzsuspringen" was die begleichung der Forderung vo egrichksote aus der nebensache angeht. Da geht es - darum daß Mittäter in der justizverwltung die ich angezeigt habe absichtlich meine Post - Porzsskostehulfntäge - verschwinden lässt. Um mich gen die massive Polzei/Justizkorruption abszchenr führe ich mein Onlin-Tagebuch Blog das man schon mehrfach verucht hat abzuschlaten / unter kontrolle der Täter zu bringen. Würd es mir wirklich darum gehen 400,00+200,00 Euro Anwaltskosten nicht zahlen dann würd ich nicht hunderte bis tausnde an Euro Gerichtskosten rauswerfen die ich msiet inForm von Ratezhalungsvereinabrungen inden prozess stecke für den ich sogar hungere wel ich nicht immer meinLetrn anbetteln will. Ir geht es umdie shce, daß das diese MAFIA-SCHWEIN nicht damit durchkommt was er mir nagtan hat. Daß "Stalking-Opfer" wei ich ganz generell nicht auch noch fürs TOTALVSRAGEN der Satfverfolgusbehöreden (ishcichen als Mittäter angezeogt) bezahlen müssen wenn sie ne Straf-Anzeige machen. Daher kämpfe ichs o erbittert es geht ums Prinzip! Ich habe dennoch meien Mutter het abend angerufen, ihr das eingescnnte Schreiben von Ihnen per Email zusendet und sie gebeten das jetzt doch zu zahlen was sie mir auch fest versprochen hat, damit besthet für Terin/Vollterckung kein Raum. ‘." | |
|
25.08.2023 10:01 |
|
|
|
|
![]() | |
| [0] |
20230825-1001-0-1.jpg |
![]() | |
| [1] |
20230825-1001-0-2.jpg |
![]() | |
| [2] |
20230825-1001-0-3.jpg |
| Maximilian Baehring Hoelderlinstrasse 4 D-60316 Frankfurt/M
vorab per Fax: +49/(0)69/1367-8767 Amtsgericht Frankfurt a.M. - Mobiliarzwangsvollstreckung - Gerichtsstraße 2 D-60313 Frankfurt a.M. Im Internet findet sich unter der URL http://banktunnel.eu/pdf.php und URL http://blog.sch-einesystem.de/ mein ausgedruckt ÜBER 26.000 DIN-A4 Seiten umfassendes Internet Tagebuch / Blog, als Offline Version downloadbar unter http://*** /***/ als ISO-Image (brennbar auf DVD) mit tagesaktuellen ZIP-Archiv Ergänzungen Frankfurt/M., 24. August 2023 82 M 2467/23 Amtsgericht Frankfurt a.M. Ihr eichben datiert auf 08. August 2023 im Umschlag mit Frankierstempel vom 23. August 2023 ! also ungewöhlich lage bei Ihne im hau herimliegend erst per normaler Briefpost am heutigen 24. August 2023 um ca. 18:00 Uhr hier eingegangen nach nur einem eoigen Tag auf dem Postweg. Zangsvollstreckungssache im Nebensache verfahren VI ZVB 67/22 Bundesgerichtshof Karlsruhe Kassenzeichen 780022149041 ein Betrag von 132,00 Euro plus Gebühren, inzwischen 180,05 Euro für den unter Aktenzeichen 140 DR II 2530/23 Amtsgericht Frankfurt a.M (OGV Marcus Krug) wei mri heut begannt wurde ein Vorgang läuft Sehr geehrete F*** B***! Sosben, 18:00 Uhr abends erhalte ich ihr Schreiben was mein Prozesskostenhilfs-antrag un Forderungen daraus aus 2022 in einem Nebenscheverfahren angeht, drin schreiben si es seine seitdem keine neuen Proezsskostehfielnträge gestellt. Das ist falch. Ich habe was das Hautscheverfhren nageht am 30/31. Juli 2023 sowie vom 1. August 2023 einen neuen Antrag gstellt der daefitiv noch nicht beschieden ist und mir ist such vollkommen unerklärlich wie sie vor mir darüber Information erhalten können. Zudem abe ich auch eine Dienstausfsichtsbescherde eingereicht. Zudem shciben sie daß mein Trag auf Voillterkusgshcutz abgelehnt wordnesie, das ist richtig und zwar nur aus dem grund daß keinerlei Volltreckung vorlag gegen die ich hätet vorgehen könen zudem Zetpukt als ich erfrüht Antrag stellte. . Zeitgleich mit ihrem Schreiben erhalte ich „förmliche Zustellung“ mit ner Post-übergabeurkunde (Blatt, nur vordeitg berucktm, Seite 1) vom 21. August 2023 für ein sechsseitiges Schreiben, 4 Blatt, Blatt 2 auf Vorder und Rückseite (Seite 2 und 3) Schreibn wo Gerichtsvollzieher Marcus Krug mich für 13. Septeber 2023 vorlädt, daran angetackert auf Blatt 2 (Seit 4 und 5) 4 DIN-A4 Seiten auf ein Blatt kleinkopiert Volltrekungsauftrag Bundeskasse Halle/ Dienstsitz Weiden zu Kassenzechen 780022149041 Bundesgerichtshof Karlsruhe in Höhe von 180,05 Euro, und auf dem letzten Blatt 4, nur vordersitig bedruckt, Seite 5 dann eine Tabelle aufs der hroverghet daß es sich um die urspübnglich gerichtskostenRechnug von 137,00 Euro handelt. Ich habe wiel in der Haupssache sehr wohl noch Verfahren anhängig am Landegricht in Frankfurt a.M. laufen meien Eltren die den Betrag für mich begleichen wollten da ich selbst mittelos bin gebeten nicht zu zhalen bis das geklärt ist. Ich habe soeben 24. August 2023 um ca., 18:30 Uhr nun mit meirn muttegseprochen und egst sie möge die Zahlug nun eben doch leisten udnsiehat mir das telfsoch zuegst, ich hab ihr das eigescannt udnepr Emil geschickt, und is ehat dne erhlt de remial und deren Lesbarkeit bstätgt. Für ein Volltreckung besthet also kein Raum da wir innerhalb der neune gesetzten Frist von 14 Tagen zahlen werden. Mein Mutter hat mir das een in zwo Telefonaten fest zugesagt. | |
|
25.08.2023 10:02 |
|
|
|
|
![]() | |
| [0] |
20230825-1002-0-1.jpg |
![]() | |
| [1] |
20230825-1002-0-2.jpg |
![]() | |
| [2] |
20230825-1002-0-3.jpg |
| Maximilian Baehring Hoelderlinstrasse 4 D-60316 Frankfurt/M
vorab per Fax: +49 / (0) 69 / 1367-2976 Oberlandesgericht Zeil 42 D-60313 Frankfurt a.M. Im Internet findet sich unter der URL http://banktunnel.eu/pdf.php und URL http://blog.sch-einesvstem.de/ mein ausgedruckt ÜBER 26.000 DIN-A4 Seiten umfassendes Internet Tagebuch / Blog, als Offline Version downloadbar unter *** als ISO-Image (brennbar auf DVD) mit tagesaktuellen ZIP-Archiv Ergänzungen Frankfurt/M., 24. August 2023 Sabotage Berufungsgverfahren verschlampen und falschzuordnen Prozssskosten-hilfsantrage duch korrute juztizbedienstete die parallel verlaufende Neben-sache Gerichtskostenbetreibung in 82 M 2467/23 Amstgericht Frankfurt a.M. wozu ich erst heute 24. Post erhielt, frankiersbestempelt mit 23. August 2023 datiert aber schon auf den 08. August 2023 auch dies beweist Verfahrensverschleppung. Sehr geehrte Damen und Herren! Erst 01. August 2023 hatte ich Dienstaufsichtsbeschwerden eingereicht, am 08. und 03. und 09. August 2023 noch ienmal nchgehakt wie die (Freundin der Vera zanner [geb. Berger?] und von Michal Beck) die Erprsserin die von mir sechs-stellige Summen Bestechungsgelder haben wollte damit das Verfahren wegen meines entführten Kindes statt verzögert endlich bearbeiet werde die ich Ende 1998 in der Kneipe „hexenkessel" kennenlernte mit andern Perosne die ich anhand von Handlugen oder Gestsen wiede-erkannt habe auf der Posststelle des Gerichts es schafft einem Zivilverfahren ein "S" Akteichze zu geben. Disbzühlich habe ich bei Landgerichträsidneten Dr. Wolf/Möller persölich Dientaufsichts-Beschwerde eingereicht, daß man mein Unterlagen bei Gericht abscihlich verschlampe, es ght konkret um Porzsskostehifenaträge,die man auseinandernimmt um Vermögensangaben aus ihnen an ander Stelle zweckzuentfremden damit sich Betrügeranwälte wie die Frau Ahlborn-Bauer oder Bonn/Fischer sich selbedienen können an der Staatskasse. Ich higegn als jemd der Opfer scherster Kriminalität wurde, vergewaltigt und des aus der Vergewaltigung unter Psycho Drogen entstandnen kidnes zwecks Erprssung menschenberaubt komme nicht zu meinem Recht dal ich von korrupten Sattsdieneren sogar krankenhausreif verprügelt wurde als ich mich gegen Folter und ungerecht-fetigte Polizei-brutalität ! zur Wehr setzte da ich nur im beisein vonpress und anit aussagen will und man mir dafür ganz gezielt die Prouesskosethilfanträge im Amte Strafvereitelnd und Straftaten begünstgend den Veruch anwltliche Hilfe zu bekommen torpdiert. Dabei arbiet man mit gezilter Unterschlagung von Postsachen, Manipulation von Beweisen und Akten. Und das kann ich hieb und stichfest nach-weisen. Ebenso daß man gezilt evruscht hat mich inden Tod zu hetzen um meine Eltern über das mir in die Erblinie hineinvergeltget Kind auszuplündern. Ich bin 2020 telefonisch von einem Betrüger der sich mal als „Viktor vom KGB" der VoIP Telfon hackt ausgbibt mal als Landrichetr Beck auf das allermassivste bedroht worden, habe dieess bei der Polizei strafangzeiget und in Akte des polizeiliche Ermittlugsverfahrnes hat der Täter der ermittelt werden konnte mit überteurtem Anwalt Akteneinsicht genommen wofür er von mir Schdensratz fordert. Dagegen hab ich mich gewehrt un die Forderung stammt aus einem Nebnsachenstcheid (Abhleungsantrag u.a.) dieses Verfahrens für das ich gerade in Berufung gehe. Heute nun erreicht mich in einer Nebensache 82 M 2467/23 Nachricht in welcheer dreist TATSCHHWIDRIG behauptet wird ich hättekeein neun Prozesskostehifenträge gestellt und die neuen aus Juli/August 2023 seien möglciherweise - DAS LÄSST MAN ABSICHTLICH IM UNKLAREN - mit den trotz versnd per Einschreibe - alten auf dem Postweg veroren eggangen aus dem April 2023 und Vorjahr zusammen oder ohne daß man mich benachrigtgen müsste abgelehnt worden. Ich bitte um Klärung. | |
|
25.08.2023 10:03 |
|
|
|
|
![]() | |
| [0] |
20230825-1003-0-1.jpg |
![]() | |
| [1] |
20230825-1003-0-2.jpg |
![]() | |
| [2] |
20230825-1003-0-3.jpg |
![]() | |
| [3] |
20230825-1003-0-4.jpg |
| #ALARM #SOS #MAYDAY
Erneuter Ärger per Prozess-kosenhilfsantrags Sabotage? Täter: mir bekannte korrupte Beamte Maximilian Baehring Hoelderlinstrasse 4 D-60316 Frankfurt/M vorab per Fax: +49/(0)611/32761-8326 (-8118) (wird noch persönlich von mir überbracht) Landgericht Frankfurt a. M. (Präsidium z.Hd. des Herrn Dr. Wolf oder Herrn Möller) Gerichtstraße 2 / D-60313 Frankfurt a.M. via gemeinsame Poststelle der Justizbehörden Gerichtsstraße 2 D - 60313 Frankfurt a.M. Im Internet findet sich unter der URL http://banktunnel.eu/pdf.php und URL http://blog.sch-einesystem.de/ mein ausgedruckt ÜBER 26.000 DIN-A4 Seiten umfassendes Internet Tagebuch / Blog, als Offline Version downloadbar unter http://*** /***/ als ISO-Image (brennbar auf DVD) mit tagesaktuellen ZIP-Archiv Ergänzungen Frankfurt/M., 25. August 2023 00:00 Uhr Eingereichte Berufung gegen Urteil vom 27./28. Juni und zugestellt 01. Juli 2023 in 380 C 478/21 (14) Amtsgericht Frankfurt a.M. Höchst (Postunterschlagung / Vor-schußvetrug Anwaltsrechnung Akteneneinsicht polizeiliches Ermittlunsgeverfahren) siehe auch 6151 Js 217162/21 – 931 Gs Amtsgericht Frankfurt/M und ST/0082472/2021, ST/0397167/2021, … sowie vor allem eben auch SPH/0584256/2020 Polizei Frankfurt a.M. 3320 AR 301535/20 Staatsanwaltschaft/332 Js 63920/20 Amtsanwltschaft Frankfurt/M Dienstaufsichtsache 313 bE 1.104/22 Präsident Amtsgericht Frankfurt/M (10./12 Januar 2023) Sehr geehrter Herr Dr. Wolf, sehr geehrter Herr Möller! Erst am 01. August 2023 hatte ich mich erneut bschwert daß man alles tut um zu verhindern daß ich aussgen kann im Beiseion eines Anwaltes der zusmmen mit der Presse und NGOs wie amnesty dafür garanteirt daß alles richtig zu Protokoll genommen wird im Strafvefhren wo ich Opfer bin, es um Mord, Spreng-stoff-Terror, entführte kinder und milliarden-schwere Enteigenugen geht, um Vergewaltigung, staatlich organisierte Folter um das überschreiben von Elter-lichen Immbilien zu erprssen, Ausplünderungen duch die beiden sozialistischen Dikaturen 1933 bis 1989. Dazu - so legte ich per Dienstaufsitchbeschwerde dar - lasse man gezielt Prostzsskostenhilfenaträge und Akten verschwinden wobei ich die Täter auch in der Justz die mich schon Ende 1998 vor Zeigenb erpresst haben identifiziert und angezeigt habe. Da ging es auch um Beschaffung von dateverlirenden EDV Systemen der Strafverfolgungs- und Justizbehörden/wo man Auschreibungsverfahren umging. Jetzt erhalt ich in nem Nebensache-Gerichtskostbeitreibungs-Verfahrne aus dem letzten Jahr wo es schon nmal drum ging daß Prozessksotehfifentärge verschlampt wurdeen und ein Befangehistetrag gegen den Richter „Görr-Ich“ lief am Bundes-gerichtshof der nur wegen unerfüllbaren Awaltzwangs Formerfodernisversämnisses wegen verloren ging wegen verschlampter Prozesskostehfilentrag Nachricht das keine anderen, neuen Prozesskostehifenträge gestellt worden seien. Das ist ab- sichtlich missverständlich zwodeutg formuleirt. So wie ja auch auf den shcer zu bekommenden (falschen?) Formularen stets Kurrz-Angabe fehlt warum denn Prozess-kostenhfile betragat werden soll so daß diese sich verwechseln und zwischen Verfahren austauschen lassen. Ich atte mela eie Stlakerin die wollte mich beim Finanzamt anschwärzen ich hätte geerbt udnstern hirtzogen dabei hatten meine Eltrn geerbt und nicht ich. Die arbeiter in der Justz. Die hat damsl versucht Ershcftssteur-Geld von mir betrügerisch zu vollstrecken zu verucht und als Ergebis ging die metllegslslcft AG Pleite. Sie war wie michael beck politisch aktiv und wollte Geld für ihr Wählerklitel, den Stimmenkauf udnwhlkampf haben. Justzbediete evrsuchten Schutz und bestech-ungsgelder von mir einzuforder nach-dem sie mich 1998 in eieer Kneipe abgfüllt und meine schwangere Freundin bedroht hatten wofürs Zeugen gibt. Es gibt ne Verbindnug zu den „Niddapark/Fressgass“-Morden bei dem korruoet Polizisten mit denen ich in meirn Funktion als Jurnalsit zu utnhatte durch “TRUE CRIME“ Verfilmung „Nebeneinnkünfte“ erzielen wollten. Handelt es sich nun bei der Falschauskuft alle eingereichten Przsskosthifentärg seien abgehlehnt UM NEN ERNEUTEN VERUCH MICH IN SUIZIDE ZU HETZEN (wegn der Erbschaft eintritt)? Um mich als zegen wieter Einzuschüchtern? Will man Gericht als Bühne nutzen für ne politsche mediale „Rache für die Juden“ Inszenierung zu der auch das Nazijäger „Fritz Rau“-Portait im Gebäude Zeil 42 passt und daß un-bedingt eine Fidnein meine Anwältin spielen wollt um mir Nachteile zuzufügen? | |
|
25.08.2023 10:04 |
|
|
|
|
![]() | |
| [0] |
20230825-1004-0-1.jpg |
![]() | |
| [1] |
20230825-1004-0-2.jpg |
![]() | |
| [2] |
20230825-1004-0-3.jpg |
![]() | |
| [3] |
20230825-1004-0-4.jpg |
| Maximilian Baehring Hoelderlinstrasse 4 D-60316 Frankfurt/M
Im Internet findet sich unter der URL http://banktunnel.eu/pdf.php und URL http://blog.sch-einesystem.de/ mein ausgedruckt ÜBER 26.000 DIN-A4 Seiten Frankfurt a.M. umfassendes Internet Tagebuch / Blog, als Offline Version downloadbar unter als ISO-Image (brennbar auf DVD) mit tagesaktuellen ZIP-Archiv Ergänzungen vorab per Fax: +49 / (0) 69 / 1367-2030 Heiligkreuzgasse 34/D-60313 Frankfurt a.M. via gemeinsame Poststelle der Justizbehörden Gerichtsstraße 2 D-60313 Frankfurt a.M. Frankfurt/M., 25. August 2023 00:30 Uhr Aktenzeichen 40 DR II 2530/23 (LT 13.09.23) Schreiben datiert 21. August 2023 Ladung zur Abgabe der Vermögsenauskunft für den 13.Spetmebr 2023 im 09:30 Uhr Zawngsvollstreckungssache im Nebensache verfahren VI ZVB 67/22 Bundesgerichtshof Karlsruhe Kassenzeichen 780022149041 ein Betrag von 132,00 Euro plus Gebühren, inzwischen 180,05 Euro für den unter 82 M 2467/23 Amstgericht Frankfurt a.M. ohen das mir anfechtbare Entschiedung vorlag Vollstreckungsshcutz betragt wurde wozu ich erst heute 24. August 2023 Post hrilt, datiert auf den 08. August 2023 Sehr geehreter Ich habe ihnen berist per Fax an die +49 (0)6051 / 971400-4 und auch an ihre Postfach-Anschrift in Gründau gschirben daß ich am abend des 24. August 2023 direkt als ich ihre Post im briefkaste gehabt habe meine Mutte angerufen habe, ihr geemailt, ihr eingescanntes Schreiben zugesendet und daß sie gesgat hat sie wolle das für mich zahlen. Parallel läuft noch ein Berufungsverfahren in der Hauptsache, ich hatte daher gebeten daß sie sic bis zu dessen endgültgem Aus-gang zu keinerlei Zahlungen für mich erpressen lässt. Ich zitiere asu Schreiben: Ich bin 2020 telefonisch von einem Betrüger der sich mal als „Viktor vom KGB" der VoIP Telfon hackt ausgbibt mal als Landrichetr Beck auf das allermassivste bedroht worden, habe dieess bei der Polizei strafangzeiget und in Akte des polizeiliche Ermittlugsverfahrnes hat der Täter der ermittelt werden konnte mit überteurtem Anwalt Akteneinsicht genommen wofür er von mir Schdensratz fordert. Daggen hab ich mich gewehrt un die Forderung stammt aus einem Nebnsachenstcheid (Abhleungsantrag u.a.) dieses Verfahrens für das ich gerade in Berufung gehe. Das ich "... "Förmliche Zustellung" mit ner Post-übergabeurkunde (Blatt, nur vorder-seitig beruckt, Seite 1) vom 21. August 2023 für ein sechsseitiges Schreiben, 4 Blatt, Blatt 2 auf Vorder und Rückseite (Seite 2 und 3) Schreibn wo" Sie "mich für 13. Septeber 2023 vorladen, daran angetackert auf Blatt 2 (Seite 4 und 5) 4 DIN-A4 Seiten auf ein Blatt kleinkopiert Vollstreckungsauftrag der Bundeskasse Halle .../„Dienstsitz Weiden zu ... Kassenzechen 780022149041 Bundesgerichtshof Karlsruhe in Höhe von 180,05 Euro, und auf dem letzten Blatt 4, nur vordersitig bedruckt, Seite 5 dann eine Tabelle aus der hervergehet daß es sich um die ur-sprüngliche GerichtskostenRechnug von 137,00 Euro handelt. Erhalten habe. Ich werde von eienr regelrechten Mitshcüer- Mafia erpresst die davonprfitiernwolltne daß mein Eltern geerbet hatten indem sie mich dazu zwingen wollten Schenkungen zu machen und Häser die ich irgendwann wenn meine Eltern das zeitliche segen mal erbe an die übschriebnwolle. Als der Erbfall nicht eintrat wurde ich unter Pscho-Drogen gesetzt udnevrgeltigt, in meien Erblinie hinein-ver-geltigtes Kind wurde gekdinappt um So ans vermögen meirneltzernb zu kommen. Als mein Vater erpresst wurde wirde die Metallgesellschft AG wo er manager war in ki8teldiscft gezogen, stdn ganz groß in der Zeitung, Vollsterckunsgsbetrug! Und das versucht man nun mit allen Mitteln, Mordveruche, Kidnapping usw. zu ver-heimlichen und daher werde ich bedorht. Dazu hab ich ihnen was geschrieben und umscherzgehend daß es ankommt nochmal umseitog doppelsitg klinkopiert in Kopie acuh nochmal an ie Anschrift bei Gericht. Irgendwer sabotiert nämlich die Post. | |
|
25.08.2023 14:00 |
|
|
|
|
![]() | |
| [0] |
20230825-1400-0-1.jpg |
| Wie man unwscher
erkennkann war ich egstren abend bis herte früh mit was ganz anderem
beschäftigt als mit dem F rnsehen. Deoch zum 18:00 Uhr TV
Vorbandprogramm vom 24. August 2023: Bei den #Simpsons gabs die Folge wo
sie TV Serienautoren werden. In der 3sat #Kulturzeit gab es dann etwas
zu Kidnr aus der Ukraine im Kranken- haus, der juge hierß Roamn. DAnn
war igdnewas mit ienm Typen names Thomas Demndt der Akten aus Isarel vor
ner US Fahne fotografeirte. EIne Schirme Demo und irgendwas mit einem
Straßenschild "Echostein" irgdnwoe in der Natur. In BerliNueKölln0240
hatten Mille und Mike irgendein Bett Gespräch wegen Mikes Vater und
Tier-schutz-Terror-toni hatte so ein Flipchart mit irgndelchen
studneplänen ausfegetltl in der WG Küche soweit ich sah
https://www.tvinfo.de/fernsehprogramm/1743262581-die-simpsons https://www.tvinfo.de/fernsehprogramm/1743262587-die-simpsons https://www.tvinfo.de/fernsehprogramm/1727708444-kulturzeit | |
|
26.08.2023 09:30 |
|
|
|
|
![]() | |
| [0] |
20230826-0930-0-1.jpg |
![]() | |
| [1] |
20230826-0930-0-2.jpg |
![]() | |
| [2] |
20230826-0930-0-3.jpg |
![]() | |
| [3] |
20230826-0930-0-4.jpg |
![]() | |
| [4] |
20230826-0930-0-5.jpg |
| #MAYDAY #SOS ÜBERFALL#ALARM
Die Strafverfolger“ und „Justizmitarbeiter“ halten sich bei Denen die Korruptionsstrafanzeigen ,Dispilinar und Dienst-aufsichtssache gegen sie einreichten weil sie ürgelten und foltren aus Grüden der Rache nicht an mehr Recht und Gesetz Maximilian Baehring Hoelderlinstrasse 4 D-60316 Frankfurt/M vorab per Fax: +49/(0)69 / 1367 - 2030 (wird zudem noch persölich überbracht) Famtsgericht Frankfurt a. M. via gemeinsame Poststelle der Justizbehörden Gerichtsstraße 2 D - 60313 Frankfurt a.M. Im Internet findet sich unter der URL http://banktunnel.eu/pdf.php und URL http://blog.sch-einesystem.de/ mein ausgedruckt ÜBER 26.000 DIN-A4 Seiten umfassendes Internet Tagebuch / Blog, als Offline Version downloadbar untr http:/*** /***/ als ISO-Image (brennbar auf DVD) mit tagesaktuellen ZIP-Archiv Ergänzungen Frankfurt/M., 26. August 2023 2-16 S 54/23 Landgericht Frankfurt am Main 30., 31. Juli und 1. August 2023 Eingereichte Berufung gegen Urteil vom 27./28. Juni und zugestellt 01. Juli 2023 in 380 C 478/21 (14) Amtsgericht Frankfurt a.M. Höchst (Postunterschlagung / Vor-schußvetrug Anwaltsrechnung Akteneneinsicht polizeiliches Ermittlunsgeverfahren) siehe auch 6151 Js 217162/21 – 931 Gs Amtsgericht Frankfurt/M und ST/0082472/2021, ST/0397167/2021, … sowie vor allem eben auch SPH/0584256/2020 Polizei Frankfurt a.M. 3320 AR 301535/20 Staatsanwaltschaft/332 Js 63920/20 Amtsanwltschaft Frankfurt/M Dienstaufsichtsache 313 bE 1.104/22 Präsident Amtsgericht Frankfurt/M (10./12 Januar 2023) Sehr geehrte Dame und Herren! Am Donnerstag Abend den 24. August 2023, ca 18:00 Uhr hatte ich im Brief-kasten meiner Wohnung im am 23. August 2023 frankierbestempelten Umschlag in der sich ein Schreiben ner „Rechtspflegerin(?)“ Frau „Bielich“ befand daß sich auf den vor Wochen zu Unrecht abgelehnten Antrag nach § 766 auf einstweiligen Vollstreckungsschutz 82 M 2467/23 Amtsgericht Frankfurt /M. bezog der lediglich „zu früh“ gestellt war (eine anfechtbare ENTSHCIDUNG lag aufgrund Versäumnissen ihres Gerichts noch NICHT vor) datiert auf den 08. August 2023. Der hat demnach exakt 15 Tage lag bei Ihnen unbearbeitet rumeglegn wpohl um irgendwelche 14 tages Firtsn verstreichen zu lassen. Und das nachdem ich am 01./03. und 09. August 2023 höchsupersönlich beim den Landgerichtpräsidenten genau wegen verschlampter Post sowie Akten deren Eischt man mir asl betroffen verwehrt vortsllig wurde um schrift-lich (inDoppletr Ausfertgung, vorab auch per Telefax) ERNEUT Beschwerde einzreichen WEIL JUTSIZMITRABEIER VERFAHREN ZEugen – Beweis-NACHWEISLICH Verfahrern zur Erprssung von Schutz- und Bestechumggeldern sabotieren, und das nchweislich in banden-/organisiert kriminell-mafiösen Strukturen. Allein in den lezten zwo Jahren hab ich in den über vier dicken Leitz-Ordnern des aktuellen Verfahrens zahreiche Korruptosflle wegen skandalösen Verhaltens zur Anzeige gebracht bei Polizei, Amts-/Staatsanwaltschaften oder Gericht, dort sogar zudem noch hilfs/esratweise Privatklage Strafantrögen nach § 374 StPO. Solchen stelle ich hiermit erneut, ich beantrage hiermit Frau oder Fräulein Bielich, „Rechtspflegerin“ ladungsfähig über die Abteilung Mobiliar-zwangsvolltreckung in der Gerichtstraße 2, D - 60313 Frankfurt a. M. wegen das § 374 StPO Konformen Tatvorwurfs des Bestechlichkeit § 332 StGB zu verurteilen und zar zur Höchststrafe von drei Jahren Haft ohe Bewährung und kündoge an sobald das Vefahrne im Gange ist und ich ein Aktenzeichen habe die Zeugen für die Bestechungsvorwürfe vorzuzweisen die Ende 1998 im Beisein von Polizebeamten inder Kiepe Hexenekssel, Ritter von Marx Brücke, Bad Homburg stattfanden. Wegn der flcihegfahr aufgrudn des hohen betragten strafmaßes be-antrage ich mit dem Grund der Flucht- und vor allem Verdunklungsefahr (die Frau hat Zugang zu Sie betreffenden Bweisen in ihr im Rhamn ihre Tätgkeit zugäglichen akten) zudem Unter-suchungs- Haft-befehl (bis zum Zeitpunkt des Sattfidnends der Hauptverhandlung) was ich wie umseitige auf demselbem Blatt sorgsam begründe: Die Hjstzbedienstste wlltre ihren Günstligen, Raubkopierern, verbillgte Software beschaffen bei einer zu Urcht statfiden Aktion/Verseitegerung. Daher hat sie mit ihrdn fuend auch siehe meinKorrpodnez vom 06. August 2023 bei der Staatanwalt- schaft und wzar widerholt-Computer Festplatten kaputtgemacht und vertauscht auf denen sich neben Beweismitteln in digitaler Form auch Backups/-Software befand. Duch eien eirbuch in mein Brüo in der Jissleffstraße 10, D - 61348 Bad Homburg wollten sie udnihre Kolizen vertuschen daß bei eienm Juwelenraub eiens Kunden meiner führen EDV-Firm in den fürhen 1990ern gestohlen worden war, die Daten-banken dess wrsrichsftsystems des Juwleiers Zes, ober elousenstraße Bad Homburg hatte ich programmiert, daher Original der sebgscrieben Software und zumtetsen Daten-Kopien auf meiner EDV. Der Juwlier istmerhfch brutalst ausgeraubt und überfallen worden. Es bestehet der digenden Verdcht daß aus der Beute die Flucht der Attentäter welche unweit vom Tatort die Limoseine das Deustche Ban Vorstands herrahsuen in die Lfst sprengten finanzeirt wurde. Die RAF überfiel damals, das weiß ich da meine Mutter beim Bundesverband der Wach- und Schließgesellschaften tätig war, der Lobbyvereinigung der Geldtransporter-Fahrer, immer wieder Objekte wie Banken um das leben im Untergrund und Sprstsoffanschläge zu finanzeiren. Der Vercht komtm nich vo mir sdnern auss Bad Homburger Polizei- und Securitykreisen mit dnen ich imRamen meiner Tätigkeit in Schülerzetng und Jugendparlment zu tun hatte. Den Kiresn zu denen der Kläger „Michael Beck“ der mich – desn Kidn ent-führt ist- telefonisch sowie per SMS und EMAIL bedroht hat was der Verfahrens- gegnstand in 380C 478/21 Amstegricht Frankfurt a.M Höcst ist, dem Berufungsver-fahren um daß es geht. Damals wollte man vertuschen das parallel Wettbewerbs-klage gegen Micrsoft/Novell anhägig war bei eine Beschaffung im Juwlierbereich. Es ging da analog zum Thama „Browserkrieg“ sinngemäß um die Frage ob wenn ein betrebsystemhertseller sein Quasi-Monopol ausnutzt um Alufelgen dun Autoradios di r slebst herstellt mitzuverkaufen anstatt freien Drihehrtsllter-Anbietern die Möglichkeit zu eröffnen Autordios und Felgen „JUST IN TIME“ ans abd zu liefern die nicht vom Neuwagnehrstellr selbst kommen. Die EU-Komission hat Mirofst auf mein etreben hin zu einr Milaldrs-artelstafe verurteilt wegen der Integration/ mitlieerung von Netzwerksoftware https://de.wikipedia.org/wiki/Browserkrieg . Ich wra damsl uter andeme an zwo Software-Entwicklugen beteiligt: die eine be-traf digitnals signieren und Faxen auch im Bereich des beleglsoen Zahlungs-verkehrs per DTAUS-Datenträgern mit Bankrechnern, es gin da um Fragen des best-möglichen Cach/Swap- Print-Queue/Spooler Schutzes von eingescannten Stempel und Unterscften auf computergenerierten Telefaxen (Man in Them Middl Attackabfangen von Siganturen/Stempeln im LAN/WAN). Daß mitbeirt vereinfacht gesagt eien Key-Logger installieren köenn aufder EDV vom Chaf um die Passwörter fürs „Online“-banking zu stehlen. Ene gfäschte digtale ustcfrift ist vom Original nicht zu unterscheiden, da kommt Logdateien die sich teils einfach fächen lassen große Bedeutung zu. Udn um Vernichtung solcher Daten/ektrnsicher Beweismittel geht es. Zuagnsgberchtigungen zur Daten. Wgen des shcnbenden Kartellverfahrens auch wiel Microsoft Softwar vorinstalliert ausliefert hatte ich die Bschaffung von Verion 3.11 von Windows (32 Bit, mit … ) anstatt 3.10 (16 Bit ohne gebundelts Netzwerk) herausgezögert. Da ging es auch um die frag ob zwo oder eine MS-Word Lizenz ge- kauft werden würden für die mehreren Workstations des Juweliers. Für den damal- igen Polizebricht sagte ich man solle beinchfargen sagen die Sofwtarepaktbstell- ugen sie noch „on the way“, also im Gange, das teup des neusn system noch nicht endgültg. Ich atte Jhursten ein großen Konzerns, der Metllgsellschaft AG sowei auc inde rautomibiludtsrie , dafür begesiten könne sich mit der Kartellrechts-frage auseinanderzustzen, einglssn eist das asl die „Highline klage“ in den Kinofilm „Philadpelha“ mit Tom Hanks, die Paratamerabfolge „-aids“ zur eisncht der fax-Ausgangs-Warteschlage auf de Unix-Faxserver Hylafax (hyla sprich Heiler) der auch im Medizinunfeld genutzt wird ist mir mit den filmleuet nin Erinnerung aus Gerächen im Redaktionsbüro zur Frage Sanc-/Speicherfax/Signaturendiebstahl. Dmit nicht mehr an Bdtsnds/Inventurlisten manipuert werebn kann bei einem Raub-überfall dchte an üerb offiste Backusp per (Supbarse/Gupta-Backaned?)-SQL nach, einem „Offsite Backup“ damit wenndie Räuber die EDV Geräte Juwlierladen kaputta mchen damit nimend sieht was sie geraubt habendie Daten an andrer Stelle noch als usrtörtes Bckup vorliegen für die Schdesratzfragen der Versicherung später. Damit die Juwleir nchher nicht der iegelegheit nutzen und angeben können es sei mehr etndet wordne als tatshclich vorhdnen war. All diese Fragen stellt man sich zum Zeitpunkt der Prototypen Entwicklung. Es gin da also auch um lizentechnsiche Fragen wie ob mehrere Workstations die idtssche MS-Word/Office Version nutzen könnten. Unter dem alten Ms-DOS war es prblemlos möglich ein Disktte mit Word im einen Rechner (Dagenwir der skertärein) zu nutzen und sie dann wennder chef sie bruachte sie dort aus dem lauwfer zu nehemn wie eine Schreibmaschine in dessen Büro herüberzutragen dort sin lfwer ezulegen, zu nutzen und sie dann anschließdn wider der sketrärin zurückzuegben. Ein und dieselbe Lizenz. Mit den damsl neunw indows evrison äderte sich das. Dern umfagwar so groß daß sie auf satt auf zig Disketten auf CD-ROM ausgeliefert wurden, die Random-Seek Zugriff-sszeuten (da ist was anders als die X-fach Datenrate für die CD/DVD-ROM Video-nutung angabe mit der Gersteler gerne werben wie im Kino-Film „The Game“ mit “Michael Dougals“) also die Zugriffszeiten optishcer Laufwerke sind so langsam daß amn die osfrwa uaf Festplatten oder ins LAN instlleirn musste, ein Kopie auf Ramdisk als chache speicher war damals technisch/wirtschaftlich gsehen nich möglich. Drasu ergibt sich dann auch die Frage obn eien Worksstation wie ein PC das ein sollte autonomnuztabe bleibt wenn esprobelme mit – heute würde man im WAN Bereich segen „der IntrenNetz-Anbidnung an die Clud“ - gibt. Nutzen zwo Workstations die selbe Word Installtion dann muß man darauf achten daß asu dr eien Shcibschine die zshcne Chfebro und Skteratiat hin und her wandrt nicht ein plötlzich per virtueller/digitlaerverfilfältgung zwo gelcizeg genutzte werden. Das probeml ist aus dem Berich der MP-Musiktauschbörsn wie eMul/dDonkey usw. bestens bekannt, wenn ich ein von Schallplatte auf Cassettee für Wlkman oder autdario überspilte Version meinem Freund ausleihe damitdersie hören kann bei sich darf ich sie nicht zeigleich slebr hören. In digtalen Bibliotheken lassen sie ePub/PDF Dtaen etwa belibig oft vitelle verfielfältgen, dasbuch ist genau so ofet vorhnden wie es geelsen wird, die wikipedia im netzt andes als MS Encarta aifCD-Rom niemals gerde evrgfifen wiel ein ander beuer die CD ausgeliehn hat. Hierfür bedient man sich sogenanter LOCKING-Mechnsidmen, analog zu einer Aus-leihkarteo einer Biblithek. Das porblem im Zetater von RG58 Thin-Ethernet Ver-kabelung ist nun folgendes: wenndie putfaru aml widr mit dem Staubsauger den BCN/Crimp-Stecker abreißt währnd er Chefe das Word ins ieenm Büro asgeliehn at, kannes die skträrinsich dann ncht mehr wie die gite alet „trumph Gabriele“ „zurückholen“ weil das nezrrkkabel gerde streikt? Oder: der PC des Juwler chefs wir geklaut oder die fetplatte geht kaputt udnin der Kartei steht noch daß das dort die Word-Lizenz drauf „aktiv“ war.Jezt ist die ja nicht wrklci weg, sodnr man hat hja wie bei de gstphelen shcllplate vonder die üebrpsilte muskcstetet noch auf Badn für Walkman/aztrodio existiert en abckup. Darf mand as nutzen? Ode muß man: und das ist auch eine Versicherungsfinaztechnische Frage – so tun als hätt eman een Hardwar-schibemchein gestohlen die nun ersetzt werdne muß. Und egau umdiee Frage zu de rich wegen eienm tefürhetn Kidn und eienr bedroh-tenshcren Freundin damasl nicht aussgne kann geht es hier. DEADLOCKs nennt man das Probelm inder EDV, das ist wie wennein Altwle bei Gerich ein Akte zur Ein- sich ausleiht, mit nch hus nimmt, einen Infarkt oder so hat und stirbt udndie erben sie nicht zurückgeben Und egnau das ist her der Fall! Die polizei kann von mri der was vefahrneegsgteädlich ist bedoht wird keine Aussege bekommen ohen daß ich nachher evrtwrtlich egmcht wrde wenn etwa meienm Kidn etwa zustößt. Daher behiflt mn sich be mir, jemandem der als (shcüelr-)zetungsredakteur mit in die Terrorr cherecherche Herrhauen involviert ist, mit Telfonüerbchung und eienr hausduchcung nach der anderen, wndet eriterte Vehrör (= Folter) methoden an u an Infos zu kommen. Bid dahin daß gerichtmedizenr mich im Studium nch dem Business Engslcih-Abendkurs in der Kneipe aufscuhen und unterDogrengabe/hypnos verhörten. Man erhoffte sich Infos zum RAF-terror-Anschlag/Mord am bakier, daher der große Aufwand. Udn maösst mich trotz entührtem Kind eifch nicht in Ruhe, ruiniert mein ganzes Leben, teorsterongsteruete Polzsten „verprügelten“ mich sogar kranken-hausreif, hetzten mich durche Erhördrgenvgrftung und angdohte vegreltigung in zu unrhct erlittenr U-Haft wiel ic nichta ussgenwollte in zig Selbstmordervsuche. Und die frage der Versicherung bei Jwelenruab der wohlder Attentatssfinzerung diente ob ZU ERTSZENDE Schäden bei Softwarediebstahl beimEibruch entstanden sind die beatworte man sich ganz einfach wie folgt: Meine Eltern hatten geebrt dzur zeit der Wiedervereinigung. Und da ging es auch um Immobilien im Osten,das war zu der Zeit als „Peanuts, die bak zaht lles“ Immbilien-Schider dort spekuierte und die Deutshce Bank (Harrshasuen) und Bauuntrenhemr mit in den Abgrudn riss. Damit die Grudstücker der Familie Reinel, meirn Großmmuter und Großtante nicht zurückgegeben werdene müssen sagte man bei einem noch zu schaffenden Gesetz zur Rückgabe zu Altegetum müsste neben entignugen durch die DDR Diktatur auch Eigen- tum zurckgegeben werden daß die andern sozialistische Dikattur 1933-45 enteigent hatte, das jüdische, brückschtegn udnd as betraf mich in meiner funktion als damalsCDU naher Polikter/Abgeordeter. Die RAf ermrodet ja neben Herrhausen auch Treuhand Chef Rohwedder wegn der ROTER AMREE-Enteigunsg Alteingtumsfragen. Im Sozalsiemus/Kommusimus dem prvateigtum fremd ist will man nicht daß groß geerbt wird. Und mitählichem Gedankengut ging amn auf meien Eltern los. Wenn die Ver-sichrung des Juwliers nicht eprnge köenn der sich doch auf ZU URECHT Mägel berufen und den eerbeten Immobilen schdlos halten. Oder IWC-Luxusweckern wie mein Vater sich die anläßlcih des Erbfalls gegönnt hatte so kam ich – abshen davondaß de rlehrtlingdes juwelir mit mir im Juegdparlemtn war - an den Auftrag das ofetwrprjekt zu relisieren, weil man uns kannte,wusste das die Familie geld hat. Udn jetzt ist es so daß wie wenn man in einer Bibliothek ein Buch ausleht, wir einnern usn an das Shcrebmschien hin und her tragen DRM-Thema, Deadlocks und so, in der Ausleihkartei quis die Numr des Bilothskasuweise, die „serialnummer“ der Lizent vermerkt wird die ausgeliehen/“aktivert“ wird. Nur hat der Lehrling des Juwelier der mit mir im Prlement und der drogebahägig war dort meine Lizenz-nummer angegeben die ich für ein Interims Installation zu Vorführzcken genutzt hatte. Da ds prgramm fähigw ar per DDE und ähnichen Tecjniken mit de Textverar-beitung zu ietragieren, etwa um Lifaranten/Kudnenadressen in die Tetxveraitung zu „überspielen/übrtragen“ farget es beim Start nach dem MS-Word. Der Start- bildschirm hatte das Juwelier „ZEUS“-Logo (das mitdem göttliche Dreieck) und wenn man kein Word konfigurert hatte poppte ein Dialog auf der sich nicht be-seitgen ließ und nchdem Pfde der „word.exe“ oder „winword.exe“ fragte. Gnaz genuas so wie in der Genesis „In teh beginnig there was teh word and teh word was at god“. De rpfarre wollt enmlich sein alte Word-Version die,die man noch auf disktten hin und hertragen kann wie ein shcibschine) verkaufen und auf das neu winword usmteegen oder so. Udndahe rhat eman mit dem Ein-/NAchkauf de rzeten Lizent gewartet obe man evrbillgt ebruchtsoftwar kuafe kann. Udn ageu daurm geht es jetzt auch. Man verucht mich in Pleite/Ruin zu treiben um die für die Demo (vorfüherfefkt der lauffähgkeitder netzwerkfuktioN) fehlende Lizenz von damals weit uer pris nachkaufenzu können. Genau die Lizenz mit der „ausleihnummer“ die cihf für usn (nichdten Juwleir) gekauft hatte. Damitder sagen kann da hat alel seine Ordnung egenüerb sienr Versicherung. Qusie dae Tema daß ich im mal kurz zur demo wie das enprodukt aussieht mal emeinshcribsmchien lieh. Wiel er satt nur ienm gelcih zwo arrbstpätze eirichtenwollte. Eunderllt d anoch ein megnrbatt aushandeln. Den ich ihm abe rnicht gewährnkann wiel ich nict Mcrosoft bin. Ich habe ihm aber egsgt daß wie noch abwarten können ie die krterchlich entsceidung zu Windows 3.11 ausgeht. Weil das anchehr dfür etshcdiend ist ob man einen Netz-werkstack als zusatzsftwraaker so wie bei den alfelegen zukaen muß ode rder integrierte legal ist. Udndaher war das alles vonshcbendenverfhrn abhängig. Das hat aber irgdnewlche ducheganlet grichstvolzehr nicht iertssiert die bei meeinm vater udndas zogdie mtllegsellscft AG in Mitleidenschaft siehc an userm Ewbr shclso halten wollten. Da steckte ein Zahlungssäiger miter vonusn dahinter der anchträglich Mitemdierungen erpessen wollte. Man evruchtalso mich absicht-lich inden ruin zu treiben um dann – so hat de rgrichstvollzehr shcon vor ahrne duchbkcikan alssne der schibar ebenfalls an eien gezilen vollrekcusbetrgug gaubt aus meiner Insovenzasse genau die Offic/word Installtion kaufen zu köenen mitd er zu Dmo zecken aktiverten aus-leihnummer. Vom Juwelier. Und amt chdarüebr nichtasge werde ich eprsst mit Dohanrifen. Ud asi st Inalt des Verfahrens für das mana verheider wil daß ich einalt bekomme. Damit ja nichst ruskommt. Und deshalb hat die Frau Bielich mein Prozesskothfiltrag unterschlagen. Dmait ch pleite gehe, ander aus de insovlnezamss Lizenezn mit ganz ebstimetn Serien-nummern pfänden können. Und aus der Beute wenn man auf meine Eltern duchrgreift bei de rhaftung wollte man and ern Immobilenerbe ( auch das im Osten) ran du da komen dann die Bestchusngsgelder die korrupeten bematen her die da mitmachen. Indme sie damit u mich inden ruin zu trben oder shcbaren Suizid damit Lizenen verkauft werden können mein Post verschwindne lassen. | |
|
26.08.2023 15:00 |
|
|
|
|
![]() | |
| [0] |
20230826-1500-0-1.jpg |
![]() | |
| [1] |
20230826-1500-0-2.jpg |
![]() | |
| [2] |
20230826-1500-0-3.jpg |
| Vom gib mir
"Bitte nur 1 Word" (16Bit sind PERFEKT) zum 18:00 Uhr
TV-Vorabendprogramm vom 25. August 2023 wo Ned Flanders Trampoline
verkaufte und dann dieser Taretino Film beworben wurde in dem er
erklärt daß King Kong Urängste des weißen Mannes wieder-spiegelt das
Wilde anderer Hautfarbe sein Mädchen entführen. Und es ging um die
Glückseeligkeit besitzloser Buddhisten. / Teil zwo ging dann mit so
eunr Art Godzilla Moster weiter und fremdstämmigen Pflanzen welche die
Herrschaft im Land an sich rissen. Mehrere Stämme unterhielten sich
darüber so wie bei einer UN-Voll-versammlung. Es gibt ja "Konferenz der
Tiere". Und ich mußte ans "Sensation: Weih-nachts-baum unterrichet
Informatik" Coverfoto der Schülerzeitung denken. Lisa sperrte Bart ein
un esgab eien "jurassic parc" fürsenioren. / #BerliNeukölln02407 drehte
sich rings um das Thema "Kinderwunsch"-Klinik. / In der 3sat Kulturzeit
gin es um Taktgefühl ud Gleichklang beim Rheingau-Musik Festival. Da
muste ich ein wenig an diesen Apple "1984" Spot denken. Marschmusik
"Blechtommeln" und "slave to the rythm" Taktgeber-trommler der Galeren
bei Asterix oder Chaplins "moderne Zeiten" Räderwerk.. Es ging um KI dei
Muster in Musik fidnet be der statistischen Analyse, daß man Stil_e
ekrenen und immitieren kann. "Stimmfarben". Dann gings um Trumps H2G2
artge "wir sind zu ihrem shcutz hier" Verhaftung. Udnum gedihe von
Groofred Ben und daß es auch üble Menshcn gibt die man für irhe
genitlät wie die Super-schurekn und Filmbösewichte dennoch bewundern kann. Ob Schrauben-Kustmäzen würth was von Nagel-Künstler Ueker in der Sammlung hat. "Star Micronics" würde sich sicher geehert fühlen wenn sie das "Pixel"-Logo meiens früheren freien Mit-arbeitres "jo)rg" auf seinm Briefkopf sehen würde das en einem Nadeldrucker Ausdruck angelehnt ist. Es ging um Steine die wie Lava miteinander verbunden werden. Wo doch in 2001 Odysee (ist das nicht der name einer Nasa-Sonde) im Weltraum der beauensetin, de Monolith als Zeichen von Intellgetem Leben das einmal existert hat gilt. Ich glaube mit dem bau einer Gednkstätte für deren errichtung der Gottkönig seinen Sklave Ferieht schnekt beginnt ja auch der biblisch altetsatmentrscihe Exodus. https://www.tvinfo.de/fernsehprogramm/1743262805-die-simpsons https://www.tvinfo.de/fernsehprogramm/1743262811-die-simpsons https://www.tvinfo.de/fernsehprogramm/1727708530-kulturzeit | |
|
26.08.2023 17:00 |
|
|
|
|
![]() | |
| [0] |
20230826-1700-0-1.jpg |
![]() | |
| [1] |
20230826-1700-0-2.jpg |
![]() | |
| [2] |
20230826-1700-0-3.jpg |
| Ich mein ich bin
ja kien Experte aber es ist schon klar daß Software sowas ist wie eine
leicht verderbliche Frucht. Sie altert sehr schnell, wird schimmelig und
gammelig. Ein-fch mal denIegervsuch wagen für ein altes Open Source
Produkt (Log Term Supprt Evolution) noch igrndwelche aktuelle
Treiber/Patches zu bekommen ;o) Ich mein ich mag ja diese Phtoshop
Versionen die mit Scannern mitgelfert werdne udn nicht upgradefähig sind
wie sagen wir eien Millenium edion auf eine Professional Version eines
OS. Wo dann die ".PS" Dateiendung trotz- dem verknüpft bleibt und sich
nur per Registry Editor ent-fernen lässt oder Netzwerkfirmen die mit N
anfingen. Wobei a propos (laut popcons) "most popular" "Editor". Was
heißt das überhaupt wenn man es für einen Atrikel in sieenm word-press
Blog Tagebuch/Journal übersetzt? Es gab da mal so ein Tool mit dem man
Bidschirminhalte mitscheiden konnte für Lernprgramme und ich mag diese
Sequenz beimWondows 10 Setup ganz gerne wo der Rechner anfängt eien
cursor zu zegen und zu tippen "hi!". Was so assieht als sähe man jemdem
beim eingeben von Text in einen Rechner zu. Etwa per Remotdesktop / VNC.
Microsoft hatte da galub ich mal einen TV(?) Werbe-Spot wo nur so text
in nen leeren Bildschirm "getippt" wurde. Wie es aussieht wenn Autoren
nach Worten suchen wie im Titelsong dieser "Lanz" Talkshowo
Textverarbeitungen mit "frischem" Input füttern... |_
(*blinkendercursor*)
| |
|
27.08.2023 18:00 |
|
|
|
|
![]() | |
| [0] |
20230827-1800-0-1.jpg |
![]() | |
| [1] |
20230827-1800-0-2.jpg |
![]() | |
| [2] |
20230827-1800-0-3.jpg |
![]() | |
| [3] |
20230827-1800-0-4.jpg |
| https://www.bild.de/regional/muenchen/muenchen-aktuell/gericht-in-muenchen-wird-augstein-tochter-gegen-willen-festgehalten-84439120.bild.html Bank-Security M. Beck kid- nappt Journalisten-Kind zur Vertuschung https://magazin.spiegel.de/EpubDelivery/spiegel/pdf/9159461
Maximilian Baehring Hoelderlinstrasse 4 D-60316 Frankfurt/M vorab per Fax: +49/(0)***1 / 9***0 - 4 *** *** Obergerichtsvollzieher Postfach *** D - 6***0 G*** Im Internet findet sich unter der URL http://banktunnel.eu/pdf.php und URL http://blog.sch-einesystem.de/ mein ausgedruckt ÜBER 26.000 DIN-A4 Seiten umfassendes Internet Tagebuch / Blog, als Offline Version downloadbar unter http://*** /***/ als ISO-Image (brennbar auf DVD) mit tagesaktuellen ZIP-Archiv Ergänzungen Frankfurt/M., 27. August 2023 Aktenzeichen 140 DR II 2530/23 (LT 13.09.23) Schreiben datiert 21. August 2023 Ladung zur Abgabe der Vermögsenauskunft für den 13.Spetmebr 2023 im 09:30 Uhr Zwangsvollstreckungssache im Nebensache verfahren VI ZVB 67/22 Bundesgerichtshof Karlsruhe Kassenzeichen 780022149041 ein Betrag von 180,05 Euro incl. Gebühren Sehr geehrter Herr ***! Ich hab gute Nachrichten. Ihre Foderung Aktenzeichen 140 DR II 2530/23 wurde durch mein Eltern vollständig beglichen, gestren abend haben mir sogar einen Beleg der Überweisung per Email erhalten den ich Ihnen unten heir zu diesem Schreiben beifüge. Ich bin seit Haudurchsuchungen meiner journalistischen und politischen wegen bei denen man EDV-Geräte die mir Dritte wie meine Familien geliehen hatten damit ich Bewerbungen schreiben kann und so die, so warnten politische Freunde aus dem Umfeld der Pirtanpartei an mich, während sie bshclagnahmt sind vor Rückgaben ure Umstädnen mit der als Bnudestrojaner aus den medien bekannten Keylogger-/Spy-/Firmware geflasht und dadurch wie duch Viren/Spam/DDOS/Hackattcaken kompromittieret Geräte unbenutzbar werden gezwungen andere Hardware zu nutzen, damit ich nicht jeden Tag zig Euro im Interenetcaf lassen muss die ich nicht habe mit einer Notlösung aus einem zugaretteshcchtelgroßen alten RaspeberryPI den ich damals für unter 15,00 Euro gekauft habe und aus dem ich mit demm kostenlosen Batelr System Linux einen „RDP Thin-Client“ gabaut habe, ein Art Montor, Tastatur- und Maus-/ Weiche die das Kabel per VPN zu einer Mitnutzungs VMWare Rechenr verlängert den ich im Netz ineienm Rhcnzetrum angemietet habe (der gehört mir nicht) so daß ich wie gewohnt Windows-Textverarbeitungs-Freeware wie Openoffice nutzen kann. Anmieten einer solchen „vitrullen Maschine“/VPS,also Rechenkapazität ist zar billigr als im Intrenetcafe habt aber massive Nachteile, man ist von der DSL Flarate abhängig udnaknn von dam Hoster/den betreberndes Rechenzen-trums bei jedem Tastaturtippen und jerde amsbweegung „abghört“ werden. Wenn die Leitung mit dem VPN zusmmenbricht steht man ganz ohne EDV da. Druch die „wackelige“ Anbindung meiner Tastur per VPN an den Comuter im Rechneztrum zig Kilometer entfernt stehet kommt es beim tippen imer wieder zu „Hängern“ Übertragunsfehlern. Daher habe ich in die Schreiben das ich ihnen gesendet hatte am 24./25. August 2023 (Post Einschreiben RT 7189 5882 5DE) anstatt 140 DR II 2530/23 nur 40 DR II 2530/23 getippt, quasi so ein „mausgerutscht / copy&paste Fehler“. Schreibe war ihnen vorab auch noch per Telefx zugegagen am 24.. Ausgust 2023 um 23:10 Uhr. Das bitte ich zu entschuldigen. Der langen Rede kurzer Sinn: Die Zahlug geleistet ich muß keinerlei „Vermögensauskunft“ abgeben! Ich bitte mir Zahlungseinagn zu bestätigen. Bitte beachten sie daß hier immer wieder Briefpost wegkommt und ich aus Kostegründen gzwugen bin einen billigen Internet-Fax-Dienst zu nutzen bei dem eiegehnde Faxe tiel shcon im Spam-Filter meienr Web/Freemailer Email-Adresse vershwunden sind. Seit meine polittschen Gegner gerichtlich abgesgenet meinen „Telefonverkehr auswerten“ fuktioneirt wohl wegen einr abhörerichtung auc mein VoIP absiertes „Festnetz“ Telefon nicht mehr. Anlage (Überweisungsquittung Einschreibebriefbeleg) s. S. …/-2- Beweis: Zahlungsbeleg des Kredtinstituts, deutlich erkennbar ihr Name als der Begünstigte, die richtge IBAN, der richtige Betrag, zudemde rhwisie daß der aftar ausgführt wurde also genügend Dekcuh aufdem Koto war. Ich kan mri das zustande-kommender ungerechtfertigten Forderung nur so erklärend daß man Bank-verbindung-en meines privaten Umfeld durch die Inkassomafai auspioniern will: anchedem meine Eltern 1989 erbten hatten wir nen zahlungssäumigen Mieter dessen Ex-Frau sei Koto pfänden wollte für Unterhalt udndie ihm Schzrgeld unterstellt hat was der Gerichtvollzeher verwechselte so daß er bei meienm Vater im Büro der Metallegsllcaft AG aftrat und versuchte die Has/privatbank des Unternehmens, die (Gontard/)Metall-Bank auszuplündern. Der Rufmordversuch der Ex-Frau kam daher gaz grioß in die Medien, zgtausne arebsitpläzte des DAX-Konzerns wurden in Miteldishcft gezogen gogglen sie mal den Fall „Metllgesellschaft Öloptionen“. Der Inkassomafiosi der Muetter wollte Heiz-Öl aus dem Tank des Hauses pfänden. „Peanuts“ Immobilienshcider sollte das Haus unter den Hammer bringen. Es ist mit einem Schaden von MEHEREN MILLIARDEN Euro der teureste Vollstreckungsbetrug aller Zeiten verfilmt uter anderem im Hyollywood-Kino-Film „The Margin Call“. Aus Rache hat man dann Bakvortsnd Herrghsuen in die Luft ge-sprengt, dessen Investmenbankster vom Streuen dieser und anderer Rufmord- Falschmeldungs- Erpressungen profitieren der Bergbau-Konzern hat eine eigene Dynamitfabrik. | |
|
28.08.2023 05:33 |
|
|
|
|
![]() | |
| [0] |
20230828-0533-0-1.jpg |
|
28.08.2023 12:30 |
|
|
|
|
![]() | |
| [0] |
20230828-1230-0-1.jpg |
|
28.08.2023 12:31 |
|
|
|
|
![]() | |
| [0] |
20230828-1231-0-1.jpg |
![]() | |
| [1] |
20230828-1231-0-2.jpg |
![]() | |
| [2] |
20230828-1231-0-3.jpg |
| Bei Gericht
nimmt didei postelle mal wieder keinerlei Anzeigen gegen korrupte Beamte
entgegen, die Post absicht-lich fsch zuordnen, das mcht jetzt eine der
der Postrschlagung Beschuldigten im "Anwaltzimmer" heißt das jeutzt, da
haben sie mit Ausdrucken über der Tür eilig ein Schild gemacht, wohl um
Emittler und Presse irre-zführen die wegen dier irren laten von Zimmer
108 ermittlen die meint sie brauche sich asl Anältin nicht auzuweisen.
ich fidn es bezeichbend daß genau die Per-sonen die beshculdigt sind
diese sie betreffenden Unter-lagen baerbeiten. Da kam dann auch gleich
noch so ne Frau in den Raum die irgendwas von verleumdung sagte, ich bin
ja froh üebr jede die mich anzegt, villeicht kommt es dann mal vor
Gericht im beiseinder pressen udnbich kann meine BEWEISE für die
Verhclpten Prozsskosten-hilfsan-träge vorlegen. Die werden absichtlich
falsch in alte Akten einsortiert. Die frau gab desml zu die Kneipe
"Hexenkessel" in Bad Homburg zu kennen. Anstatt zu ar-beietn haben sie
liebr "Frutz Rau" Gednktafeln aufge-hängt. Mans sehe nur die Spitze
eines Urehcts-Eisberges als Justiz, stimmt, siehe Wahlkampferpessung udn
Morde "Uwe Barschel" U-Boot-Affäre, da könnt man dengazen eisberg mal
genauer von uten in vollem Ufang beleuchten. Siete s diefRauquote und
die abnshccfuung des Radikal-enerlasses gibt sitzen per Quote bei der
Justz nur noch liksverisffte Terror-emanzen Typ "mänenr sind Sch-weine"
die sollen sich im Kireg vetsümmeln udn er-
schießen lassen für kien sogrecht aber dafür Unterhalts-zahlung. Sieh die sche mit der Ex-Frau usneres Mieters. Ich hab noch egstgt daß im hexenkessel Polozuisten ein und ausginge und Presseleute die meine (möglicherise von mir) schwangere Freundin erpressten zsumemn mit dem Wirt der keien Kozession bekam wslb Andrea Ressler für ihenden Kopf hinhilt aufdem Pier die da klnnerte Geld-säche. UDnawsl sie dann mit mir zusmkam und schwanger wurde fürchtete Ulrtich rossmann daß sie den Job an den Nagel hängt udn er neimdn mehr hat der sein Geld wäscht. Daher wurde ich 1998 mti dem Leben be-droht udndie Bulen fandne daß alles ganz prima, die ließens sich Freibeir ausgeben und sien Stalking-Opfer, seinbe Ex, und mich die er mit dem Lebn bedroht hatte mussten darunter massivst leiden. Ich bhab ncoh toinenis EMial asu dem evteiler damsl die ch zehcriche befridete Kollegen it ednen ich abend uterwges war mitgelsen haben die auf CC/BCC gesetzt worden waren. Beweise! Aueßrdme hscfrtflich Brief von Andrea die von der üblen Erpressung zeugen. Sienem evrissffeen Kudne Tim der später als Porgrammeiren bei mir gelegentlich jobbte wollt er eien Festanstellung in meienr fira eprssen ebeos wie der ponscihe FAxserver Debal Erprsserbande, die mit den eprssten/gfakten eigscannten Telefax Unterschriften. Dqamits ie sch üebrwisungen slebnt utershcrben konnten. Wo ich sagte macht das auf keien fall. Damsl hat mir ien Profi mit jahrelanger Berufserfahrung beigepflichtet udn egau das vorhegrshenwas gscha. Er beigepflichtet udn egau das vorhegrshenwas gscha. Er sgt wenn es eine intrene Emrttlung ist undie lassen Post verschwindend annist das vile iefchr wennale Post auf ein zetral Faxservereieeght als üerb viel unteschielich geräte eingeht die im Hasu evrteilt sind udnnicht gleichzeitig abgefang wern können, ewta per "remotezugriff". Er wollte ime rnoch midetsn ein paar tardriotnelle Geräte stehen lassne die man im Notfall nafaxnekann. Heute morgen stellt ich fest daß einer der Faxserver streikte udnricf beim geritvollieher na ob er meine Faxe erhalten habe udnder sagte alle und das Geld habe er auch. Das kann mana uch so vetshen daß da jemdn ganz gezielt per Cathc_all dei Umterlagen in verfahren gegend ie korruet Justzbedieteten eisammelt und mir dadurch immense kosten verursacht. Was dann auffällt wenn der Prozess-kostehiflantrag der Hauptsache fslch inder kate zur lägts abgshclsosnee Nebensache verchdent damit weiter die schutz- und bestechungsgelder kassietr werden können. | |
|
28.08.2023 13:45 |
|
|
|
|
![]() | |
| [0] |
20230828-1345-0-1.jpg |
![]() | |
| [1] |
20230828-1345-0-2.jpg |
| Das Thema Kind
von eienm andern Kerl / "Zweigeleisg fahren" kennen wir ja zur genüge
aus dem Fall Andrea Ressler und "Ulrich Rossmann" diejenige Eperesserin
die meine Eltren per falscher Unterhlstforderungen auszu-plündern
versucht hat (Das haus Kappesgasse zummen mit der Ruf-Mord Erpresserin
Vera Zanner (geb Begrer) die ebenfalls im Hexenkessel soff genwu wie die
Frau die mchh unetrspchopharaka setzet udn evrgeltigte, Uta Riek. Die
Vegrletigung ausder Das Kind Tabea-Lara riek hervor-ging. Uta Rieke und
Vera Zanner arbeiteten beide beid er Bühnetchnikfirma "Satsi and Fy"
daher der immenser ver-breitungsgrad ihrer Verleumdungs-kampagenen.
Mittels derers ie fereiw ahlen verhidern wollten Baukorruptions-gürnde.
Etwa beim zu Urcht uter den hammer gekommen Metllgesellschaft Areald as
man mit Fake News über Nazi vebrehcn flshcnaltegetüern zurück-geben
wollte. Wofür der ztarlrt der Juden Nutten aus dem Godlen Gate Tabel
Dance Club aufgpoistceh gener anstzte (das wofür Kokser Michel Friedmann
IN WAHRHEIT verur-teilt wurde) und gelder aus der Beute der
Imkobilien-speCkuation mit Ostimmobilien fizerte Exlirsussen ind enUSA
dei, sich als Holyywood ausgaben udnPorgarda machten wie SchindlLUDErs
LIST. der Filem "hail Casar" deckte dann dieevrcikugen der Osblock
apparstchicks auf. Weildei alle am Tropf der erbeuteten angeblichen
Nazi-gedler hängen (oder beim GEZ- "ROT-FUNK") fianziell die "Künstler"
udn"jornlsiten" wird da auch nix aufgeklärt. Die lezten ertszunehmende
Poliszetn mit den ich sprch regten sich üerb "Russe-Militär"
"Siegerjustiz auf, frauen die von GIS vergewaltigt würden, da würden die
miltärs das zur Staatsschutzssache erklären damit nichs passiert.
Illegale Folter-Straflger (getarnt asl Psychiatrie): sihe Mollath!
Linksradikale fimisteinnen aus dem Osten (Leitbild alin-erzihende
Eunetelrnfmilie) in Führunsgtagen bei Polizei und Justiz
(Quetbevrorzugung).
auch nix aufgeklärt. Die lezten ertszunehmende Poliszetn mit den ich sprch regten sich üerb "Russe-Militär" "Siegerjustiz auf, frauen die von GIS vergewaltigt würden, da würden die miltärs das zur Staatsschutzssache erklären damit nichs passiert. Illegale Folter-Straflger (getarnt asl Psychiatrie): sihe Mollath! Linksradikale fimisteinnen aus dem Osten (Leitbild alin-erzihende Eunetelrnfmilie) in Führunsgtagen bei Polizei und Justiz (Quetbevrorzugung). | |
|
28.08.2023 14:00 |
|
|
|
|
![]() | |
| [0] |
20230828-1400-0-1.jpg |
![]() | |
| [1] |
20230828-1400-0-2.jpg |
![]() | |
| [2] |
20230828-1400-0-3.jpg |
| Passend zu diems
Msnchbidl war der von der "true crime nebmnherverdienst "mit
eprsserfilmen mafia der hr an-egstellten #tatort gestren. Da wurde die
mit der mutte-rolle überfodertefaru die sich von eienm typen schwängrn
lässt der angeblich auf einer urlaubsisnel verschwunden gewsen sei wärnd
sie zetgelcih mit nam anderen typen rummachte und der sich daher für
den Vater ihres Kindes hielt. mutter werden ist nicht schwer, mutter
sein hinge-gen sehr. erinenrt sich noch jamdn an christina kreuzers
"geburtsschmerz" "pain-drill"s "turschuh" kampagne? die ehe-"frau"die
shcon im kdergarten jüngere zusmeschlug? die baurehöfe mit einem
königs-adels-gut verwechselte? wer wegn kdiern shcerzen hat dem darf man
sie nicht wegnehmen. siehe der #tatort "im schmerz geboren" . weißder
vater der da irgdnwo inspenien auf ner isnel arytmcht üerbhaut voinsienm
avtegrlüclk, vonsienm entführten Kind? ghet es das kidn udnseien Onkel
und tanten die es unbe-kannter-weise hat hroeßeltern usw. nicht etwas an
von wem es wirlich abstammt, siehe dazu "homo faber" angdeuteter
inzest. dasl been itw ie ienslebstdienusgladn für mädchen, alles drüfen,
nicht müssen wie Männer bei der Wehrpflicht. "Mien bauch gehört mir",
da fange ich mir imkreg kein kiugel mit ein? Zurück zur überforderten
Mutter der das kidnwegläft,w ensigsten ncihw ie der pilotenehefrau die
säuft wielder mann imemr lagstercke fliegt udn tagelang weg ist der dnn
die kider regelmäßig
ausbüxten Kita Weingartenstraße. Der mit dem Darchen-steigensong "Steh auf" ("Rammstein"s "Till Lindemann") der dann Polzste wurde um Alkoholiker aus dem verkehr ziehen zu können - stellvertretend für seine Mutter! Also, der jungen Frau die inder gegnderumvögelete wurde das kind entführt udn der typ der dachte er sei der Erzeger dundder daher wegdem dem Kidne eine ebzihung zu ihr knüpfen wollte der wurd gegenüber der rpolzei als Stalker hingestellt. "er sie duchegderht aslöder dchet wer werde Water". Einnert mich alles an Ulrich rossmann udn zwogelisieg (mdiestens) Andrea Ressler. Entafürht dhtadas kidn aber jemdndrittes, einFrau den eigenes Kind gestorbenw ar daß sie erstzen wollte. ich fühlt mich ein weng an den Horrorfilem "die hand an der Wiege" erinenrt. Zu rhct nahm die komissarin von anfagn an an eine Frau mit ner kinderwunsch-Störung ienrpschsichscn sie dei Täterin. Was die die ja kein anrhct auf ein BRUSTCHUTZ istsinkt hat dannalels atat um das kidndas nicht vonrhe abstmmte zu "beschützen"ist ja auchalels tarafer, anders als wennein avter im kreg eien iavsoren urschießt um das ahsue seiner kleien famile zu beshützen vor de fremdn armee. Vertedigungdes grund-eiegtums gene en btügerbdne, das ist strafrfreies töten. Hier zhähl de BRUTSCHUTZINSTKINT. den auchder an-gebnliche Stlekr der von ich zu unrehct annimmt vater zu sin für sich inAspruch nehmrn, anders als die eine "mater semepr certa est" mutter die auch als leihmutter wieß ob sie diejenige ist von der einkidn abstammt. das ist bei jeneen männern die für sich defitiv in anspruch nehmen können zu recht vermutet zu haben daß se erzeuger gemeisnamen Nahwuchses sind ganz anders. Der Mann darf sogar "für den Brutschutz" Menschen täen die seiner erweiteten Abstamusgemsicaft, der Großfamilie, Sippe, dem Volks-STAMM schädlich sind, eben genetsichs stammes-fremde Invasoren im Krieg. Der osldat der slebt keien Kider hat tötet Angreifer um die Kinder udn fmilien der ndern soldatn zu schützen. Er istd azu sogar verpflichtet. Die Frau higegen die ein Kind raubt ist stes ein Entührerin und eine Mörderin. Di efrau wllte sich nicht um den alten Mann imRoll-stuhl kümmern DERIHRETWEGEN DORT SASS weil der nicht per kindchenschema niedlich zu wickeln und windeln war udnkeien widerworte leisten kont wie ien säugling. Der ging es nicht darum jemden zflgen, die wollte der chef, der boss von jemandem sein der sich nicht wehrt. deshalb wollt sie nicht ihren nachbarn pflegen (die polizistun muste sich im urlaub ud enkümern) sodenr liebr ein kind das ncht slebt üerb sien pfleg bestimmenm darf wiel es diesem imgegestz zum flegefll rentner an der lebsnerfhrung efhlt dinge einschätzen zu können. wie imemr im leiksversifften fministtenne rotfukk der staat-lichen propagandamedienwurd ei rolle de alleinerzieh-enden frau (der dermann weggelaufen ist) nicht in Frage gestellt. oebwohls ich das absolut angeboten hätte. https://www.tvinfo.de/fernsehprogramm/1733450176-polizeiruf-110 | |
|
29.08.2023 06:12 |
|
|
|
|
![]() | |
| [0] |
20230829-0612-0-1.jpg |
|
29.08.2023 16:45 |
|
|
|
|
![]() | |
| [0] |
20230829-1645-0-1.jpg |
| Zum 18:00 Uhr
TV-Vorabendprogramm vom gestrigen Montag, dem 28. August 2023: in
#berlinNeuKölln02407 hält sich jan ein Schildkörte auf dem Balkon. Bei
Familie #Simpson gab es selbstfahrende Autos und in Teilwzo bestllt sich
Wirt Moe ene Brut aus dem Katlog imDark-net in Russland. Die 3sat
#Kluturzeit machte auf mit eienem Buch üerb russldndsuchte "das
gesächntis der töchter" von "Irene Langemann" wo ebrichtw urde wie aus
dergrlücllcihenWin-win Sitauion für deise siten aus de rnasidlung dr
duscthenin Rsusldn die verfolgng im 20.Jahrhudnert wird. Dann gab es ein
Bericht daz wue die neu itliensich erierung die Presse gelcishclte,
etwas ganz,ganz neus, das hattenwir bei Berlsuconi etwa nicht. Dann
wurde wegen des Goethe Gebrustags auf die Preis- täger der meaillen
hingewiesen die alle Freiheits-käfer sidn fürdie Klurt inihren lädnern.
Dann gabs nen beicht zum Popkutirfestibal inberlin. und ein Fotobuch
"All Personal" udn eien berucht üerb suegstreben Tiere in Firsland,
dietoten Vögel sidn oben. Es ging umd en Tod von Puk-Poet Paenfuß und en
autor des als Kinofilm bekannt geowrdne Romans Tschick mit der Musik
von Richard Claydermann.
https://www.tvinfo.de/fernsehprogramm/1747165109-die-simpsons https://www.tvinfo.de/fernsehprogramm/1747165117-die-simpsons https://www.tvinfo.de/fernsehprogramm/1731158580-kulturzeit | |
|
30.08.2023 05:32 |
|
|
|
|
![]() | |
| [0] |
20230830-0532-0-1.jpg |
|
30.08.2023 15:00 |
|
|
|
|
![]() | |
| [0] |
20230830-1500-0-1.jpg |
| Das ca. 18:00
Uhr TV-Vorabendprogramm vom Dienstag dem 29. August 2023: beid en siposn
kam die Folge wo Marge eine Truppeware-Party macht. In Teil zwo wurde
Krusty vom Fernseh zum Zirkusclown. In der dann beginnenden 3sat
#Kulturzeit gings um Flüchtligshciffe die Untergingen Maxim Billers "100
Zeilen Hass" und seinen Roman "Mama Odessa". "nur wer tragisch endet
ist ein Poet" meint er. Es gab einen Monat der zeitge-nössischen Musik
und ein Rod Movie au dem Iran namens "Hit the road". dann ging es um die
Numemr 1 der US Charts, einen Countty Sänger Olver anthony / Richman
North. Billy Brag aus enlgnd wollte das man indie Gerskcft eitrtts
ietwwegen. Dann gab es noch einen Halb - Afrikaner der Baumrdine als
Leinwand nutzte. Und am Ende erzählte ein rappendes Flüchtling etwas
von der Hängematte aus.
https://www.tvinfo.de/fernsehprogramm/1747165652-die-simpsons https://www.tvinfo.de/fernsehprogramm/1747165659-die-simpsons https://www.tvinfo.de/fernsehprogramm/1731158662-kulturzeit | |
|
31.08.2023 05:35 |
|
|
|
|
![]() | |
| [0] |
20230831-0535-0-1.jpg |
|
31.08.2023 09:45 |
|
|
|
|
![]() | |
| [0] |
20230831-0945-0-1.jpg |
| Zum 18:00 Uhr TV
Vorabendprogramm vom gestrigen Mittwoch, den 30. August 2023.
#Simpsons: Teil eins ward ei Folge in de Homer mit Lisa Klamotten
kaufen geht. Teil Zwo die folge mit dem Hotel mit dne kleinen Zimmern.
In #berlinNeuKölln02407 spielten Emmi udnirhe Freud mit einer
Baby-Puppe. In der 3sat #Kulturtrzeit eigng es um das 3D Scannen von
Schau-spielern als Avatare. Die wollten Tantiemen haben wenn sie jemand
stilsichtsch anchahmt. Dan gng es um das Filmfest in Venedig. Der
Tennisfilm "Challengers" flog wegen Autoren-Streik aus dem Programm.
Dafür gab es ien Film der Commandante hieß. Außerdem gab es noch
BioPic-Filme üebr Piscialla und Bernstein. Dann eien längere Besprechung
des Films "Passages" und "luise" nach DH. Lawrence "der Fuchs". Dann
eine Ausstellung dun wats über duchegkallte Kinder die ihre Eltern ins
Heim bringen wollen.
https://www.tvinfo.de/fernsehprogramm/1747166060-die-simpsons https://www.tvinfo.de/fernsehprogramm/1747166070-die-simpsons https://www.tvinfo.de/fernsehprogramm/1731158744-kulturzeit | |